我が国における農産物中のカドミウム濃度の実態
平成30年10月1日更新
農林水産省は、国産農産物に含まれるカドミウムの低減対策に取り組んでおり、その成果を検証するため、平成21~26年度において日本全国で栽培されたコメ、小麦、大豆等を対象とした実態調査を実施しました。
その結果、平成21~22年度に生産されたコメに含まれるカドミウムは、平成9~10年度に調査したコメに比べて低く、カドミウム低減対策が有効であることが確認できました。
また、本実態調査の結果を用いて我が国における食品からのカドミウム摂取量を推計したところ、平成15年に公表された研究結果よりも減少しており、その推定摂取量が、食品安全委員会や国際機関が設定した耐容摂取量を下回っていることから、通常の食生活を送っていれば、食品に含まれるカドミウムによって健康が損なわれることはないと考えられます。
農林水産省は、低減対策普及の進展や新たな低減技術の開発・普及等の状況をみて、必要に応じて農産物中のカドミウム濃度の実態調査を行うことにしています。
このページでは、平成21~26年度において日本全国で栽培されたコメ、小麦、大豆等を対象とした実態調査の結果を掲載しています(結果の詳細につきましては、こちら(平成28年2月23日プレスリリース)(PDF : 783KB)を御覧ください。)。
食品中のカドミウムの実態調査の結果
農林水産省は、食品からのカドミウム摂取量を減らすため、農産物中のカドミウム低減対策に取り組んできました。
その効果を検証するため、国産のコメ(平成21、22年度)、小麦(平成24~26年度)、大豆(平成23~25年度)及び野菜20品目(平成21、22年度)中のカドミウム濃度を調査しました。
国産のコメ、小麦、大豆のカドミウム濃度を前回の調査結果(コメ:平成9~10年度、小麦・大豆:平成12~14年度)と比較したところ、農林水産省が推進し、都道府県や生産者の方々が実施しているカドミウム濃度低減対策が有効であることが確認されました。
例えば、コメについては、前回の調査では、カドミウム濃度が0.4 mg/kgを超える試料が0.3 %存在しましたが、今回の調査ではそのような試料はありませんでした。
【参考】前回実施した国内産農畜産物等の実態調査結果は、こちらです。
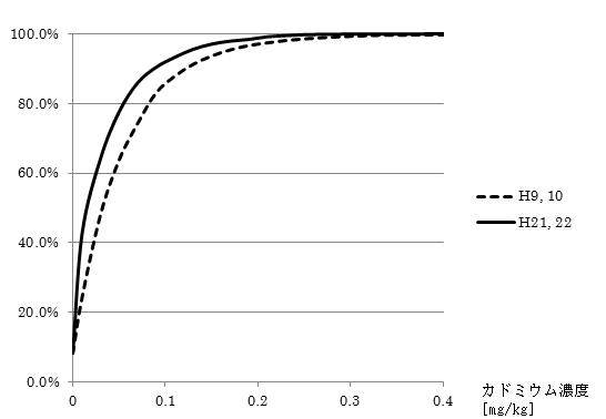
1.国産米
前回調査(平成9、10年度)の結果と今回調査(平成20、21年度)の結果を表1及び図1、図2に示しました。今回調査におけるコメに含まれるカドミウムの濃度は、前回調査時と比べ、統計学上有意に低くなりました (p < 0.01)。
コメ中のカドミウム濃度の分布は、図1が示すように、前回調査に比べて今回調査では低濃度方向に移動したため、高濃度における頻度が低下しました。
また、前回調査では、我が国の基準値であり、コーデックス基準値でもある0.4 mg/kgを超える濃度のカドミウムを含むコメが0.3 %存在しましたが、今回調査ではそのようなコメは存在しませんでした。
| 表1 国産米中カドミウム濃度 | |||||||||||||||||||||||||||||||||||||||
|
|||||||||||||||||||||||||||||||||||||||
![]() |
|||||||||||||||||||||||||||||||||||||||
| 図1 国産米中カドミウム濃度の分布 | |||||||||||||||||||||||||||||||||||||||
![]() |
|||||||||||||||||||||||||||||||||||||||
| 図2 国産米中カドミウム濃度の分布(累計) |
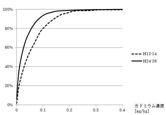
2.国産小麦
前回調査(平成12~14年度)の結果と今回調査(平成24~26年度)の結果を表2及び図3、図4に示しました。今回調査におけるカドミウム濃度は、前回調査時よりも統計学上、有意に低くなりました(p < 0.05)。
また、小麦中のカドミウム濃度の分布も図3が示すように、前回調査に比べ、今回調査では濃度が低い試料が多くなり、濃度が高い試料が少なくなりました。
なお、小麦中カドミウムのコーデックス基準値0.2 mg/kgを超える濃度の試料の割合は、前回調査の3.9 %から今回調査では1.3 %に減少しました。
| 表2 国産小麦中カドミウム濃度 |
![]() |
| 図3 国産小麦中カドミウム濃度の分布 |
![]() |
| 図4 国産小麦中カドミウム濃度の分布(累積) |
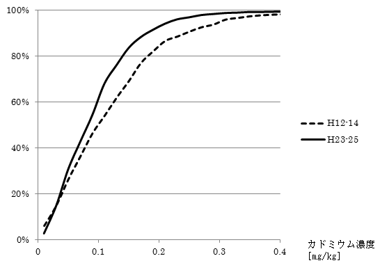
3.国産大豆
前回調査(平成12~14年度)の結果と今回調査(平成23~25年度)を表3及び図5、図6に示しました。カドミウム濃度は、前回調査時と比べ、今回調査の方が統計学上、有意に低くなりました (p < 0.05)。
また、図5が示すように、前回調査に比べて今回調査では0.02~0.15 mg/kgの低濃度で頻度が増えたことから、0.15 mg/kg以上の高濃度で頻度が低下しました。
なお、分布の山が複数あるのは、場所や品種など、様々な原因が影響していると考えられます。
| 表3 国産大豆中カドミウム濃度 |
![]() |
| 図5 国産大豆中カドミウム濃度の分布 |
![]() |
| 図6 国産大豆中カドミウム濃度の分布(累積) |
4.国産野菜
平成21、22年度に実施した国産野菜中のカドミウム濃度は、図7のとおりでした。野菜中のカドミウム濃度は、穀物や大豆と比べて低い傾向を示しました。
特に、キャベツ、はくさい、ねぎ、だいこん、やまいも、かんしょ、きゅうり、トマト、なす、アスパラガスでは、分析試料の50%以上が定量限界(0.01 mg/kg)未満であり、平均値も0.01 mg/kgと低い値でした。
![]() |
|
![]() |
|
| 図7 国産野菜中カドミウム濃度の分布 | |
| ※ | ヒゲの上端、下端は最大値及び最小値、箱の上端、横線、下端は75パーセンタイル、中央値、25パーセンタイルをそれぞれ表します。 |
【参考】前回実施した国内産農畜産物等の実態調査結果
農林水産省ではリスク管理措置を実施するに当たっての基礎資料とするため、平成9~14年度において農畜産物等の全国実態調査を行い、平成14年11月及び平成16年9月、FAO/WHO合同食品添加物専門家委員会(JECFA)に本調査結果を提出しました。これらのデータは、我が国のカドミウム摂取量分布の推定や国際的なリスク評価等に用いられるとともに、国際的なカドミウム基準値に反映されました。
国内農畜水産物に含まれるカドミウムの実態調査データ
(試料の採取及び分析方法(PDF : 286KB))
穀物(PDF : 130KB)
野菜(PDF : 247KB)
果実(PDF : 121KB)
その他の作物(PDF : 119KB)
肉類(PDF : 86KB)
魚介類(PDF : 143KB)
参考資料
加工等による作物中カドミウム含有量の変化(PDF : 99KB)国民健康・栄養調査(厚生労働省)(平成14年度以前の調査結果はこちら((独)国立健康・栄養研究所))
日常食からのカドミウム1日摂取量の年次推移(PDF : 89KB)(出典:国立医薬品食品衛生研究所による日常食からの汚染物質の摂取量調査をもとに農林水産省が作成)
お問合せ先
消費・安全局農産安全管理課
担当者:土壌汚染防止斑
代表:03-3502-8111(内線4507)
ダイヤルイン:03-3592-0306












