木材統計調査の概要
調査の目的
素材生産並びに木材製品の生産及び出荷等に関する実態を明らかにし、林業行政の基礎資料を整備することを目的とする。
調査の沿革
昭和26年(1951年)以前素材の生産量に関する統計は、林家等に対する表式調査を基に作成した。
昭和27年(1952年)調査精度の向上の観点から、表式調査に加え、製材工場に対する「製材工場基礎調査」を開始した。
昭和28年(1953年)合単板、電柱材、パルプ材などに調査対象を拡充し、同年9月に「製材統計」として総務大臣による指定統計の指定がなされ、これ以降、「製材統計調査」(指定統計調査)として実施した。
昭和29年(1954年)製材以外の素材生産量の把握及び木材の需給・価格動向等の把握を目的として「木材統計調査」(承認統計調査)を開始した。
昭和35年(1960年)「製材統計調査」のうち標本工場調査の一部(製材用入荷素材記帳簿)を廃止した。
昭和48年(1973年)標本工場調査の実施周期を短縮(隔月→毎月)した。
昭和62~63年(1987~1988年)電子計算機を活用した地方分散処理を導入した。
平成12年(2000年)基礎調査の調査員調査化及び標本工場調査の郵送調査化を開始した。
平成13年(2001年)調査票のOCR化及び基礎調査の標本調査化の見直しを行った。
平成17年(2005年)「製材統計調査」と「木材統計調査」の再編・統合による木材統計に関する調査体系の変更を行い、調査名称を「木材統計調査」に変更した。
平成29年(2017年)CLT、集成材、LVL等に係る調査事項を追加した。
令和3年(2021年)「競争の導入による公共サービスの改革に関する法律」(平成18年法律第51号)に基づく民間事業者への業務委託を導入した。
調査の根拠法令
統計法(平成19年法律第53号)第9条第1項の規定に基づく総務大臣の承認を受けた基幹統計調査として、木材統計調査規則(平成17年農林水産省令第124号)に基づき実施している。
調査の体系

調査の対象
- 基礎調査
全国の製材工場(製材用動力の出力数が7.5kw以上の工場)、木材チップ工場、合単板工場、LVL工場、集成材工場及びCLT工場であって、調査年の12月31日現在で事業を行っているもの及び休業中であってもその休業期間の開始時期が調査年の10月1日以降であるものを対象としている。 - 製材月別調査
全国の製材工場(製材用動力の出力数が7.5㎾以上の工場)における製材用素材消費量(以下「素材消費量」という。)のおおむね80%を占めるまでの上位都道府県(以下「調査対象都道府県」という。)及び国有林材供給調整対策において重点的に生産・消費動向の把握を実施する都道府県の製材工場を調査の対象としている。 - 合単板月別調査
全国の合単板工場を調査の対象としている。
抽出(選定)方法
本調査は標本調査(一部は全数調査)により行っている。標本抽出に当たっては、母集団名簿として工場一覧表を作成する。工場一覧表は、事業所母集団データベースの情報、調査年前年の基礎調査の調査票、木材統計調査名簿及び地方自治体等からの情報収集により作成する。
- 基礎調査
(1)製材工場
都道府県別に、調査年前年に操業実績があった工場(以下「既存工場」という。)を、調査年前年の素材消費量により、次のアからウまでに示す規模階層、調査年に新規に操業を開始又は操業を再開した工場(以下「新設・再開工場」という。)をエに示す新規調査階層に区分を行った上で、調査対象工場を抽出している。
なお、都道府県別の既存工場数が3以下の場合は、規模階層区分は行わず、既存工場全てを調査している。
ア 第1階層
既存工場を素材消費量の最も多い工場から順に配列し、その累積素材消費量がその都道府県の素材消費量の70%を上回るまでの製材工場とし、この階層は全数調査を行っている。
イ 第2階層
既存工場を素材消費量の最も多い工場から順に配列し、その累積素材消費量がその都道府県の素材消費量の90%を上回るまでの工場から第1階層に属する製材工場を除いた製材工場とし、この階層は標本調査を行っている。
調査対象工場数は素材消費量の合計がその都道府県の素材消費量の8%となるように次の計算式により算出し、第2階層に属する工場を素材消費量の多い工場から順に配列した工場一覧表を用いて、系統抽出の方法により調査対象工場を抽出している。

ウ 第3階層
既存工場のうち、第1階層及び第2階層に属する製材工場以外の製材工場とし、この階層は標本調査を行っている。
調査対象工場数は素材消費量の合計がその都道府県の素材消費量の2%となるように次の計算式により算出し、第3階層に属する工場を素材消費量の多い工場から順に配列した工場一覧表を用いて、系統抽出の方法により調査対象工場を抽出している。

エ 新規調査階層
新設・再開工場は、新規調査階層とし、この階層は全数調査を行っている。
(2)木材チップ工場
都道府県別及び専門・兼営区分別(木材チップ専門工場、製材工場又は合単板工場等との兼営工場の別をいう。以下同じ。)に、調査年前年の木材チップ生産量により、それぞれ上記(1)に準じて規模階層に区分し、調査対象工場を抽出している。
なお、都道府県別の既存工場数が3以下の場合は、規模階層区分は行わず、既存工場全てを調査している。
(3)合単板工場
都道府県別及び工場類型別(単板専門工場、普通合板工場及び特殊合板専門工場の別をいう。以下同じ。)に、単板専門工場にあっては調査年前年の単板製造用素材入荷量、普通合板工場にあっては調査年前年の普通合板生産量、特殊合板専門工場にあっては調査年前年の特殊合板生産量により、それぞれ上記(1)に準じて規模階層に区分し、調査対象工場を抽出している。
なお、都道府県別の既存工場数が3以下の場合は、規模階層区分は行わず、既存工場全てを調査している。
(4)LVL工場
既存階層(既存工場)及び新規調査階層(新設・再開工場)に区分し、それぞれ全ての工場を調査対象工場としている。
(5)集成材工場
調査年前年の集成材生産量により、上記(1)に準じて規模階層に区分し、調査対象工場を抽出している。
なお、都道府県別の既存工場数が3以下の場合は、規模階層区分は行わず、既存工場全てを調査している。
(6)CLT工場
既存階層(既存工場)及び新規調査階層(新設・再開工場)に区分し、それぞれ全ての工場を調査対象工場としている。
- 製材月別調査
調査対象工場数については、調査対象都道府県別に製材用素材消費量を指標とする標準誤差率(目標精度)を10%として算出している。
標本の抽出は、調査対象都道府県別に既存工場を調査年前年の年間素材消費量の多い順に並べ、全数調査階層(累積素材消費量がその都道府県の素材消費量の30%を占めるまでの製材工場)と標本調査階層(全数調査階層以外)に区分し、全数調査階層は全ての工場を調査対象とし、標本調査階層は調査対象工場数の合計から全数調査階層の工場を除いた数を系統抽出により標本として抽出している。
なお、算出した都道府県別の全数調査階層の工場数が4工場以下の場合は、年間素材消費量の上位5工場を全数調査階層とし、標本調査階層については、最低標本数を5工場とし、算出した都道府県別の標本調査階層における工場数が4工場以下の場合は、系統抽出により5工場を標本として抽出している。
また、新設・再開工場は新規調査階層とし、工場の操業が開始された時点で当該月分の調査を行い、この階層については全ての工場を調査対象工場としている。
- 合単板月別調査
標本の抽出は、既存工場から都道府県別に単板専門工場にあっては調査年前年の単板製造用素材入荷量、普通合板工場にあっては調査年前年の普通合板生産量、特殊合板専門工場にあっては調査年前年の特殊合板生産量の多い方から順に並べ、それぞれ入荷量又は生産量の85%を上回るまでの工場を調査対象としている。
また、新設・再開工場は新規調査階層とし、工場の操業が開始された時点で当該月分の調査を行い、この階層については全ての工場を調査対象工場としている。
調査事項
- 基礎調査
製材に用いる動力の出力数、素材の入荷量、消費量及び在庫量、製材品の出荷量及び在庫量、木材チップの生産量及び在庫量、合板用及びLVL用の単板消費量、合板及びLVLの生産量及び在庫量、集成材用及びCLT用のラミナ消費量、集成材及びCLTの生産量及び在庫量 - 製材月別調査
製材に用いる動力の出力数、素材の入荷量、消費量及び在庫量、製材品の生産量、出荷量及び在庫量、製材用素材の消費見込量 - 合単板月別調査
素材の入荷量、消費量及び在庫量、合板の入荷量、生産量、出荷量、消費量及び在庫量
調査の時期
- 基礎調査
調査期日:毎年12月31日現在
調査票の配布:毎年1月上旬
調査票の回収:毎年2月末日(2月末日が土日祝日に当たる場合には、その直後の営業日) - 製材月別調査及び合単板月別調査
調査期日:毎月末日現在
調査票の配布:毎年1月上旬(1年分を一括して配布)
調査票の回収:調査対象月の翌月の16日(16日が土日祝日に当たる場合には、その直後の営業日)
調査の方法
- 基礎調査
本調査は、農林水産省-民間事業者-調査対象工場の実施系統で実施している。
農林水産省が委託した民間事業者(以下「民間事業者」という。)が調査対象工場に郵送、オンライン又は民間事業者の調査員(以下「調査員」という。)により調査票を配布し、回収する自計調査の方法により行っている。
ただし、調査対象工場が面接聞き取りによる調査を希望した場合は、調査員による面接調査の方法により行っている。 - 製材月別調査及び合単板月別調査
本調査は、農林水産省-民間事業者-調査対象工場の実施系統で実施している。
民間事業者が調査対象工場に郵送、オンライン、FAX又は調査員により調査票を配布し、回収する自計調査の方法により行っている。
ただし、調査対象工場が面接聞き取りによる調査を希望した場合は、調査員による面接調査の方法により行っている。
集計・推計方法
本調査の集計は、大臣官房統計部生産流通消費統計課において行っている。
- 基礎調査
製材工場、木材チップ工場及び合単板工場については、都道府県別、専門・兼営区分別又は工場類型別に、次の(1)から(3)までの計算式により推定値を算出し、全国結果は、各区分別の推定値を合計して算出している。
LVL工場、集成材工場及びCLT工場については、次の(4)から(6)までの計算式により全国の推定値を算出している。
なお、工場数の集計結果については、調査対象工場の選定に当たって作成した「工場一覧表」を用いて、都道府県別、製材用動力の出力規模別等に算出している。
製材用動力の出力規模階層別の集計結果については、調査票のデータを出力規模階層別に組替えて算出している。
(1)製材工場
次の計算式により都道府県別の推定値を算出している。
第1階層については、調査不能が発生した場合は標本調査階層と同様の推定を行う。
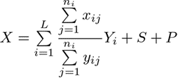
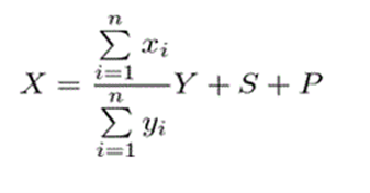
(都道府県別の推定式)
X :当該項目(x)の合計値の推定値
L :標本調査階層(規模階層の第2階層及び第3階層)の数
ni :標本調査階層の i 番目の階層の標本工場数
xij:標本調査階層の i 番目の階層の j 番目標本工場の当該項目(x)の値
yij:標本調査階層の i 番目の階層の j 番目標本工場の調査年前年の素材消費量
Yi :標本調査階層の i 番目の階層の調査年前年の素材消費量
S :第1階層の当該項目(x)の合計値
P :新規調査階層の当該項目(x)の合計値
(2)木材チップ工場
次の計算式により専門・兼営区分別の推定値を算出し、専門・兼営区分別の推定値を合計して全体の推定値としている。
なお、推定式中の「yij」及び「Yi」については、木材チップ用素材に関する項目の推定においては「木材チップ用素材の入荷量」、木材チップ生産量に関する項目の推定においては「木材チップ生産量」を用いている。
第1階層については、調査不能が発生した場合は標本調査階層と同様の推定を行う。
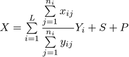
(専門・兼営区分別の推定式)
X :当該項目(x)の合計値の推定値
L :標本調査階層(規模階層の第2階層及び第3階層)の数
ni :標本調査階層の i 番目の階層の標本工場数
xij:標本調査階層の i 番目の階層の j 番目標本工場の当該項目(x)の値
yij:標本調査階層の i 番目の階層の j 番目標本工場の調査年前年の木材チップ用素材の入荷量(木材チップ生産量)
Yi :標本調査階層の i 番目の階層の調査年前年の木材チップ用素材の入荷量(木材チップ生産量)の合計
S :第1階層の当該項目(x)の合計値
P :新規調査階層の当該項目(x)の合計値
(3)合単板工場
次の計算式により工場類型別の推定値を算出している。
なお、推定式中の「yij」及び「Yi」については、単板製造用素材に関する項目の推定においては「単板製造用素材の入荷量」、普通合板に関する項目の推定においては「普通合板生産量」、特殊合板に関する項目の推定においては「特殊合板生産量」を用いている。
第1階層については、調査不能が発生した場合は標本調査階層と同様の推定を行う。
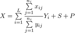
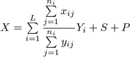
(工場類型別の推定式)
X :当該項目(x)の合計値の推定値
L :標本調査階層(規模階層の第2階層及び第3階層)の数
ni :標本調査階層の i 番目の階層の標本工場数
xij:標本調査階層の i 番目の階層の j 番目標本工場の当該項目(x)の値
yij:標本調査階層の i 番目の階層の j 番目標本工場の調査年前年の単板製造用素材の入荷量(普通合板生産量又は特殊合板生産量)
Yi :標本調査階層の i 番目の階層の調査年前年の単板製造用素材の入荷量(普通合板生産量又は特殊合板生産量)の合計
S :第1階層の当該項目(x)の合計値
P :新規調査階層の当該項目(x)の合計値
(4)LVL工場
次の計算式により全国値を算出している。
(全国の計算式)
X:当該項目(x)の合計値
S:既存階層の当該項目(x)の合計値
P:新規調査階層の当該項目(x)の合計値
(5)集成材工場
次の計算式により全国の推定値を算出している。
第1階層については、調査不能が発生した場合は標本調査階層と同様の推定を行う。
(全国の計算式)
X :当該項目(x)の合計値の推定値
L :標本調査階層(規模階層の第2階層及び第3階層)の数
ni :標本調査階層の i 番目の階層の標本工場数
xij:標本調査階層の i 番目の階層の j 番目標本工場の当該項目(x)の値
yij:標本調査階層の i 番目の階層の j 番目標本工場の調査年前年の集成材生産量
Yi :標本調査階層の i 番目の階層の調査年前年の集成材生産量
S :第1階層の当該項目(x)の合計値
P :新規調査階層の当該項目(x)の合計値
(6)CLT工場
次の計算式により全国値を算出している。
(全国の計算式)
X:当該項目(x)の合計値
S:既存階層の当該項目(x)の合計値
P:新規調査階層の当該項目(x)の合計値
- 製材月別調査
次の計算式により都道府県別の推定値を算出している。
全数調査階層については、調査不能が発生した場合は標本調査階層と同様の推定を行う。
(計算式)
X :xの合計の推定値
n :標本調査階層内の標本工場数
xi:標本調査階層内の i 番目標本工場のxの値
yi:標本調査階層内の i 番目標本工場の前年の素材消費量
Y :標本調査階層の前年の総素材消費量
S :全数調査階層xの合計値
P :新規調査階層の当該項目の合計値(調査値又は推定値)
全国推定値は、都道府県別の推定値及び直近年である木材統計調査基礎調査(年次調査)結果を用いて、次の基本式のとおり推定を行うこととしている。
全国推定値(月別)=直近年の全国値(年間計)×(調査対象都道府県の当月集計値÷調査対象都道府県の直近年年間計)
- 合単板月別調査
次の計算式により都道府県別の推定値を算出し、都道府県別の推定値を合計して全国の推定値を算出している。
なお、都道府県において調査対象とした工場の全てが調査不能(調査票未回収)となった場合は、その都道府県が属する地域(地域区分は「利用上の注意」を参照)においては、都道府県別の推定値に代え地域別の推定値を算出している。
また、計算式中の「yi」及び「Y」については、単板製造用素材に関する項目の推定においては「単板製造用素材の入荷量」、普通合板に関する項目の推定においては「普通合板生産量」、特殊合板に関する項目の推定においては「特殊合板生産量」を用いている。
(計算式)
X :xの合計の推定値
n :標本工場数
xi: i 番目標本工場の該当項目の値
yi: i 番目標本工場の前年の単板製造用素材の入荷量(普通合板生産量又は特殊合板生産量)
Y :既存工場階層の前年の単板製造用素材の入荷量(普通合板生産量又は特殊合板生産量)の合計
P :新規調査階層の当該項目の合計値(調査値又は推定値)
全国推定値は、都道府県別の推定値(調査対象とした工場の全てが調査不能(調査票未回収)となった都道府県が属する地域においては、上記の計算式により算出した地域別の推定値を代わりに用いた。)を合計している。
用語の説明
- 素材関係
(1)素材
用材(薪炭材及びしいたけ原木を除く。)に供される丸太及びそま角をいう。ただし、輸入木材にあっては、半製品(大中角、盤及びその他の半製品)を含めている。
「大中角」とは、建築用材のひき角材のうち一般に大中角と称されるものをいい、一定の規格は定められていない。米材では通常一辺の長さが18インチ(46cm)以上を大角、18インチ未満で10インチ(25cm)以上のものを中角と称するが、取引に際しては大中角として一括されている。
「盤」とは、建築用材のひき割材のうち一般に盤と称されるものをいい、一定の規格は定められていない。米まつ、米つが、スプルース、チーク材に多く、米材では厚さ3~6インチ(7.6~15.2cm)、幅10~12インチ(25~30.5cm)及び長さ20フィート(6m)以上のものとしている。
「その他の半製品」とは、大中角及び盤以外の製材品で、一般に再製材しないと利用できないものをいう。
(2)素材需要量
製材工場、合単板工場及び木材チップ工場への素材の入荷量である。
(3)素材供給量
山元段階の調査が困難なことから、本調査においては工場への素材入荷量をもって供給量としている。
なお、国産材である素材については、その入荷元である都道府県で生産されたものとして各都道府県の素材生産量としている。
(4)南洋材
ベトナム、マレーシア、フィリピン、インドネシア、パプアニューギニア等の南方地域から輸入される木材の総称で、きり、リグナムバイタ及びチークの3樹種を除いた全ての樹種をいう。
(5)米材
アメリカ合衆国及びカナダから輸入される木材で、樹種は問わない。主要樹種は、米つが、米まつ、スプルース、米すぎ、米ひのき等である。
(6)北洋材
ロシア連邦から輸入される木材で、樹種は問わない。主要樹種は、北洋からまつ、北洋えぞまつ、北洋とどまつ等である。
(7)ニュージーランド材
ニュージーランドから輸入される木材で、樹種は問わない。主要樹種は、ニュージーランドまつである。
(8)その他の輸入材
南洋材、米材、北洋材及びニュージーランド材以外の輸入木材をいう。 - 製材関係
(1)製材
素材から製材品を生産することをいう。
(2)製材品
素材で長さ180cm以上のものから製材機によって生産した板類、ひき割類及びひき角類をいう。
(3)製材工場
製材を行う事業所をいい、移動製材工場を含める。ただし、製材に用いる動力の出力数が7.5kW未満の工場を除いている。
(4)製材用動力
製材用機械を動かす原動力(モーター等)をいい、製材機の他、これに付属する設備(目立て機、巻上げ機、ベルトコンベアー等)の動力も含めている。
(5)製材用素材入荷量
製材に供するために工場土場(工場に隣接している駅土場、貯木場等を含む。)に入荷した素材の量で、転売したものを除き、賃びきを依頼されたものを含めている。
(6)半製品
大中角、盤及びその他の製材品で一般に再製材しないと利用できないものをいう(それぞれの用語の説明は、1.(1)の「素材」の項を参照)。
(7)素材消費量
製材機にかけた素材の量をいう。
(8)製材品生産量
手持ち製材用素材及び賃びき材から生産された製材品の量をいう。
(9)製材品出荷量
手持ち材による製材品で販売したもの(製材品販売量)及び自家業務用(工場の補修、改修等)に消費したもの並びに賃びき材による製材品の総量をいう。
(10)人工乾燥材
乾燥施設によって人工的に温度・湿度を調節し乾燥処理をしたもので、含水率25%以下のものをいう。
(11)建築用材
土台、柱、桁、板等建築用に仕向けられる材をいう。
ア 板類
厚さが7.5cm未満で、幅が厚さの4倍以上のものをいう。また、板類には、床板用原板(えん甲板用原板、広葉樹フローリング用原板)を含めている。
イ ひき割類
厚さが7.5cm未満で、幅が厚さの4倍未満のものをいう。
ウ ひき角類
厚さ及び幅が7.5cm以上のものをいう。
(12)土木建設用材
コンクリートパネル、土止め板、橋りょう用材等の土木用仮設材をいう。
(13)木箱仕組板・こん包用材
りんご箱、みかん箱、魚箱等多くの場合セットになっている仕組板、機械こん包用材、電線巻取り用材等をいう。
(14)家具建具用材
たんす、机、キャビネット等の家具用及び窓枠、障子、ふすま等の建具用に仕向けられる材をいう。
(15)その他用材
上記の分類に含まれない造船車両用材、まくら木、機械部分用材、運動用具、腕木、たる、おけ用材、木型用材等がある。 - 合単板及びLVL関係
(1)合単板工場
単板、普通合板及び特殊合板を生産する事業所をいう。
なお、単板を専門に製造する工場を単板専門工場、普通合板を製造する工場を普通合板工場、特殊合板を専門に製造する工場を特殊合板専門工場、普通合板と特殊合板を生産する工場を一貫工場という。
(2)単板
合板等に用いるために、素材から、ロータリーレース、スライサー又はベニヤソーを使用して生産された木材の薄板をいう。その製造法によって、ロータリー単板、スライド単板、ソーン単板及びハーフランド単板の種類がある。
(3)単板消費量
合板等を生産することを目的として振り向けた単板の量をいう。この場合、自工場における消費量とし、自社他工場分等は除いている。
(4)合板
単板(心板にあっては小角材を含む。)を3枚以上を主としてその繊維方向を互いにほぼ直角にして、接着したものをいう。
(5)普通合板
表面にオーバーレイ、プリント、塗装等の加工を施さない合板をいう。
(6)針葉樹合板
針葉樹材で生産された普通合板をいい、本調査では「全針葉樹合板」(針葉樹のみによる合板)を調査対象としており、複合針葉樹合板(針葉樹と広葉樹による合板)は含まない。
(7)特殊合板
普通合板の表面に美観、強化を目的とする薄板の貼り付け、オーバーレイ、プリント、塗装等の加工を施した合板をいう。
ア 用途別の合板
(ア)コンクリート型わく用合板
普通合板生産量のうち、コンクリート型わく用に使用する合板をいう。
なお、コンクリート型わく用合板については、表面に塗装等の加工を施したものも「普通合板」に含めている。
(イ)構造用合板
ツーバイフォー住宅等の建築物の耐力構造上必要な部位に使用される合板で、日本農林規格(JAS)で厚さ等の規格を定めている。
イ 単板製造用素材入荷量
単板を製造するために工場土場に入荷した素材の量で、転売したものを除いている。
ウ 普通合板入荷量
特殊合板を生産するために特殊合板専門工場に他工場から普通合板を入荷した量のほか、自社の他工場からの受入量も含めている。
エ 普通合板生産量
自工場で生産した普通合板の量をいい、自社他工場から受け入れたものは除いている。
なお、購入した単板から生産したものは含めている。
オ 普通合板消費量(特殊合板用)
特殊合板を生産することを目的として振り向けた普通合板の量をいう。この場合、自工場への仕向量のみを計上し、自社他工場分等は除いている。
カ 特殊合板生産量
自工場で生産された特殊合板の量をいい、自社他工場から受け入れたものを除いている。
(8)LVL工場
LVLを生産する事業所をいう。
(9)LVL
単板を主としてその繊維方向を互いにほぼ平行にして積層接着したもの及び繊維方向が直交する単板を用いた場合にあっては、直交する単板の厚さの合計が製品の厚さの30%未満であり、かつ、当該単板の枚数の構成比が30%以下であるものをいう。「単板積層材(たんばんせきそうざい)」とも呼ばれる。
ア 構造用LVL
LVLのうち、主として構造物の耐力部材として用いられるものをいう。
イ その他のLVL
構造用以外のLVL(造作用LVL等)をいう。
(10)LVL生産量
自工場で生産されたLVLの量をいい、自社他工場から受け入れたものは除いている。
なお、生産量の内数である「混合」とは、構成する単板に国産材及び輸入材の両方を使用したものをいう。 - 木材チップ関係
(1)木材チップ
素材、工場残材、林地残材及び解体材・廃材からチッパー等を用いて生産したパルプ、紙、繊維板、削片板等を原料とする木材の小削片をいう。
(2)木材チップ工場
木材チップを生産する事業所をいう。
なお、製材工場、合単板工場、LVL工場、集成材工場、CLT工場、家具・建具工場等との兼営工場は木材チップ工場に含めるが、製紙工場、パルプ工場、繊維板工場及び削片板工場における調木、原料製造の一工程として木材チップを生産しているものは除いている。
(3)木材チップ生産量
木材チップ工場におけるチップ生産量で、単位は絶乾重量(t)である。
なお、絶乾重量とは、含水率を検定して絶乾比重(含水率0%)に基づき算出された実重量である。
(4)工場残材
製材工場、合単板工場及びその他の木材加工工場で製品を生産した後にできる端材をいう。
(5)林地残材
立木伐採後の林地において玉切り又は造材により生じた根株、枝条等をいう。
(6)解体材・廃材
家屋等を解体した際の古材、電柱材、足場丸太、くい丸太、まくら木等既に利用に供された木材をいう。 - 集成材及びCLT関係
(1)集成材工場
集成材を生産する事業所をいう。
(2)集成材
ひき板、小角材等の部材(ラミナ)をその繊維方向を互いにほぼ平行にして、厚さ、幅及び長さの方向に集成接着したものをいう。
ア 構造用集成材
集成材のうち、所要の耐力を目的として等級区分したひき板(幅方向に合わせ調整したもの、長さ方向にスカーフジョイント又はフィンガージョイントで接合接着して調整したものを含む。)又はラミナブロック(内層特殊構成集成材に限る。)をその繊維方向を互いに平行にして積層接着したもの(これらを二次接着したもの又はこれらの表面に集成材の保護等を目的とした塗装を施したものを含む。)であって、主として構造物の耐力部材として用いられるもの(化粧ばり構造用集成柱を除く。)をいう。
(ア)大断面集成材
構造用集成材のうち、短辺が15cm以上で断面積が300cm²以上のものをいう。
(イ)中断面集成材
構造用集成材のうち、短辺が7.5cm以上かつ長辺が15cm以上のものであって、大断面集成材以外のものをいう。
(ウ)小断面集成材
構造用集成材のうち、短辺が7.5cm未満又は長辺が15cm未満のものをいう。
イ その他の集成材
構造用以外の集成材(造作用集成材、化粧ばり造作用集成材、化粧ばり構造用集成柱等)をいう。
(3)ラミナ
集成材及びCLTを構成する最小単位のひき板(ひき板をその繊維方向を互いにほぼ平行にして長さ方向に接合接着して調整したもの、小角材をその繊維方向を互いにほぼ平行にして幅方向に接着したもの及びそれをさらに長さ方向に接合接着したものを含む。)をいう。
(4)ラミナ消費量
集成材及びCLTを生産する目的として振り向けたラミナの量をいう。この場合、自工場における消費量とし、自社他工場分等は除いている。
(5)集成材の生産量
自工場で生産された集成材の量をいい、自社他工場から受け入れたものは除いている。
なお、生産量の内数である「混合」とは、構成する単板に国産材及び輸入材の両方を使用したものをいう。
(6)CLT工場
CLTを生産する事業所をいう。
(7)CLT
ひき板又は小角材(これらをその繊維方向を互いにほぼ平行にして長さ方向に接合接着して調整したものを含む。)をその繊維方向を互いにほぼ平行にして幅方向に並べ又は接着したものを、主としてその繊維方向を互いにほぼ直角にして積層接着し3層以上の構造を持たせたものをいう。「直交集成板(ちょっこうしゅうせいばん)」とも呼ばれる。
ア 構造用CLT
CLTのうち、主として構造物の耐力部材として用いられるものをいう。
イ その他のCLT
構造用以外のCLT(造作用CLT等)をいう。
(8)CLT生産量
自工場で生産されたCLTの量をいい、自社他工場から受け入れたものは除いている。
調査票
木材統計調査基礎調査票(PDF:464KB)
木材統計調査製材月別調査票(PDF:207KB)
木材統計調査合単板月別調査票(PDF:175KB)
利用上の注意
- 木材需給動向・素材生産量の把握については、山元段階の調査が困難なことから、素材消費工場段階への入荷量をもって素材供給量とし、そのうち国産材供給量を素材生産量としている。素材生産量は県間交流表により都道府県別・樹種別に算出し、輸入材供給量は産地材別に調査している。
- 製材月別調査結果、合単板月別調査結果については、各月の公表値を合計しても基礎調査結果とは一致しない。このことから、当該年における1年間の数量については、基礎調査結果を活用されたい。
- 各統計表の工場数は、表頭事項の工場数の実数であり、工場数には12月31日現在において3か月未満の間休業しているものを含む。
- 木材統計調査(製材月別調査及び合単板月別調査)は、標本調査であることから工場の新設・廃業等が毎月の推定値に即座に反映されない場合がある。
- 数値の四捨五入について
統計数値については、表示単位未満を四捨五入しているため、合計値と内訳の計が一致しない場合がある。 - 統計表中に使用した記号は、次のとおりである。
「0」、「0.0」:単位に満たないもの(例:0.4千m³→0千m³)
「-」:事実のないもの
「…」:事実不詳又は調査を欠くもの
「‥」:未発表のもの
「x」 :個人又は法人その他の団体に関する秘密を保護するため、統計数値を公表しないもの
「△」:負数又は減少したもの
「nc」:計算不能 - 統計表の地域区分
地域区分は、次のとおりである。
- 秘匿措置について
統計調査結果について、調査対象数が2以下の場合には、個人又は法人その他の団体に関する調査結果の秘密保護の観点から該当結果を「x」表示とする秘匿措置を施している。
なお、全体(計)からの差引きにより該当結果が推定できる場合には、本来秘匿措置を施す必要のない箇所についても「x」表示としている。 - 遅延調査票について
提出期限後に提出された過月分調査票(遅延調査票)について、毎月の概数値の公表の集計に間に合わない場合は、確定値として公表する際に、集計に含めている。
利活用事例
- 「森林・林業基本法」(昭和39年法律第161号)に基づき政府が定める「森林・林業基本計画」のうち、林産物の供給及び利用の目標の算出資料。
- 「木材需給表」(林野庁)作成のための資料。
- 農林水産省政策評価における「林産物の供給及び利用の確保」に関する評価指標。
- 木材(木材製品)の需給対策の検討のための基礎資料。
- 経済産業省が作成する「鉱工業生産指数」の算出資料。
その他
諮問第153号木材統計調査の変更について(諮問)〔外部リンク〕
諮問第153号の答申 木材統計調査の変更について(PDF:241KB)〔外部リンク〕
Q&A
- 木材統計調査の基本
Q:木材統計調査の結果は、どのようなことに役立っているのですか?
A:木材産業は、木材の供給・加工・流通を通じ、林業の持続的かつ健全な発展並びに森林の適正な整備及び保全に重要な役割を担っています。
しかしながら、近年、木材価格の低迷、輸入製品の増加等により、木材産業をめぐる情勢が一段と厳しいものになっています。
このような中で、木材の供給・利用を促進し、木材産業の体質強化を図っていくことがより一層重要となっています。
木材統計調査は、素材生産及び木材製品の生産・出荷等に関する実態を明らかにし、林業行政を行うための基本となるデータとして用いられます。
具体的な調査結果の利活用は、上記「利活用事例」をご覧ください。
Q:仕事が忙しい場合でも、木材統計調査に答えなければならないのですか?
A:木材統計調査において、もし、皆様から正確な回答をしていただけなかった場合、得られた統計が不正確なものとなってしまいます。そのようなことになれば、木材統計調査の結果を利用して立案・実施されている様々な政策や将来計画が誤った方向に向かったり、行政の公平性や効率性が失われたりするおそれがあります。
正確な統計に基づいて、公正で効率的な行政を行うためには正確な回答が必要ですのでご協力をお願いします。
Q:回答したくない項目があるのですが、記入しなくてもよいのですか?
A:木材統計調査の調査項目は、我が国の素材生産及び木材産業の実態を把握するために必要不可欠なものであり、そのため、統計法によって、調査対象者に調査票に記入・提出していただく義務(報告義務)を課して行っているものです(統計法第13条)。
また、報告を拒んだり虚偽の報告をしたりした場合の罰則も規定されています(統計法第61条第1項第1号)。
統計法では、このように報告義務を定める一方、調査に従事するすべての者に対して、調査で知り得た秘密を保護する義務や調査票の取扱いについて厳格な規定が設けられており、これらに違反した者に対する罰則も設けられています。
木材統計調査はたいへん重要な調査であるとともに、統計法によって調査票の記入内容が厳重に保護され適正に管理されていますので、安心して調査票に記入しご提出ください。
Q:調査票に回答がなかった場合は、なんらかの方法で回答を補っているのですか?
A:回答がなかった場合は、調査員による報告者への聞取りにより補完しています。また、提出された調査票についてそのまま集計し、回収率による補正などは行っていません。
Q:調査票の回答に異常値、外れ値があった場合は、どうするのですか?
A:過去の調査結果や業界の情報により調査票の記入内容を精査し、記入内容に異常値や外れ値が生じた場合は、調査対象に照会を行い、調査票の記入内容について確認・補足・訂正を行った上で集計しています。 - 個人情報の保護
Q:木材統計調査では調査対象の情報はどのように保護されるのですか?
A:木材統計調査は、「統計法」(平成19年法律第53号)に基づく統計調査として行われます。統計調査に従事する者には「統計法」により守秘義務が課せられており、違反した場合には罰則(2年以下の懲役又は100万円以下の罰金)が設けられています。また、過去に統計調査に従事していた者に対しても、同様の義務と罰則が規定されています(統計法第41条、第57条第1項第2号)。
このように、統計調査の業務に従事する者、あるいは過去に従事していた者に対して厳しい守秘義務と罰則が設けられているのは、調査対象となる方々に、調査項目すべてについて、安心して回答いただくためです。木材統計調査でいただいた回答(調査票)は、外部の人の目に触れないよう厳重に保管され、統計法で認められている統計の作成・分析の目的にのみ使用されます。統計以外の目的に使うことや、外部に出されることは一切ありませんので、安心してご記入ください。
Q:木材統計調査で知ったことを、税金の徴収など、統計の目的以外に使うことはないのですか?
A:木材統計調査は、統計法に基づいて行われ、統計以外の目的で調査票を使用することは固く禁じられています。従って、調査関係者が調査で知り得た秘密を他に漏らしたり、統計以外の目的、例えば徴税などに調査票の記入内容を使用したりすることは絶対にありません。これらの行為は統計法という法律で固く禁じられています。調査関係者が調査で知り得た秘密を他に漏らした場合の罰則(懲役又は罰金)も定められています。
皆さまにご記入いただいた調査票は、外部の人の目に触れることのないよう厳重に保管され、集計が完了した後は完全に溶かしてしまうなど、個人情報の保護には万全を期しておりますので、安心してご記入ください。
Q:木材統計調査には、個人情報保護法が適用されないのですか?
A:統計法に基づいて行われる統計調査で集められる個人情報は、次の理由から個人情報保護法が適用されないことになっています。
統計調査により集められた個人情報は、集計後は統計処理されることにより、個人を識別できない形で利用・提供されること。
統計法では、統計以外の目的での調査票の使用が禁止されているなど、個人情報の取扱いに必要な制度上の規律が厳格に整備されていること。 - 木材統計調査結果の公表について
Q:木材統計調査結果は、いつごろ公表されるのですか?
A:原則として、基礎調査結果は調査対象年の翌年の5月末日までに概数値として公表し、翌々年の3月下旬までに確定値として公表することとしています。
また、製材月別調査及び合単板月別調査は調査対象月の翌月の25日まで(25日が土日祝日に当たる場合には、その直後の営業日)に公表することとしています。
なお、具体的な公表日時については、こちらを確認してください。
Q:木材統計調査結果は、どこで利用することができますか?
A:木材統計調査の結果(第1報及び報告書)は、農林水産省ホームページ及び政府統計の総合窓口(e-Stat)で順次公表することとしていますので、インターネットを通じてご利用していただくことができます。
インターネットによる公表においては、原則としてすべての統計表をダウンロードできるよう掲載することとしています。
Q:木材に関する統計調査は、どのようなものがありますか?
A:木材をはじめ森林、林業に関する統計(一覧)は、こちらからご覧になれます。
また、木材等に関する基本データは、こちらからご覧になれます。
お問合せ先
大臣官房統計部生産流通消費統計課
担当:畜産・木材統計班
代表:03-3502-8111(内線3686)
ダイヤルイン:03-3502-5665




