木材流通構造調査の概要
調査の目的
本調査は、周期年調査(5年周期)により、工場(製材、合単板、LVL(単板積層材)、集成材、CLT(直交集成板)、プレカット及び木材チップ工場)、木材流通業者(木材市売市場、木材センター及び木材販売業者)を調査対象として、木材(素材、製材品、合単板、LVL、集成材、CLT、プレカット及び木材チップ)の仕入先別仕入量、出荷先別出荷量等の把握を行い、木材の量的なフロー(流通量)を明らかにするとともに、木材の加工・流通全般にかかる各段階の取引額等について把握し、木材流通構造改善施策等の推進に資することを目的とする。
調査の沿革
| 昭和43年 | 木材生産流通調査の一環として、木材市売市場、木材センター、製材工場、床板工場、合単板工場及び木材販売業者を対象に木材流通及び消費の全体的動向の把握等を目的とする「木材流通構造調査」を実施(3年周期)。 |
| 昭和47年 | 製材工場、合板工場、木材市売市場、木材センター及び木材販売業者を調査対象とし、その販売活動の実態や合理化の動向を明らかにすることを目的に「木材販売構造調査」を実施。製材工場及び合板工場に係る調査は、調査期日を12月31日現在とし過去1年間について、木材市売市場、木材センター及び木材販売業者に係る調査は9月30日現在とし過去1年間について調査を実施。 |
| 昭和55年 | 製材工場と合板工場を「工場関係調査」に、木材市売市場、木材センター及び木材販売業者を「流通業者関係調査」に区分して実施。 |
| 昭和59年 | 両調査の調査期間について、調査期日を12月31日現在とし、過去1年間の状況の調査に変更。 |
| 平成3年 | 「木材流通構造調査」に改称した。 |
| 平成8年 | 調査の周期を5年に変更した。 |
| 平成18年 | 都道府県値の作成を廃止し、全国値のみを作成することとした。 |
| 平成23年 | 調査対象にLVL工場を追加。 調査項目に工場残材の出荷量、木材チップの入荷先別入荷量及び販売先別販売量を追加。 |
| 平成28年 | 調査対象に集成材工場(CLTを製造する工場を含む。)を追加。 |
| 平成30年 | 調査対象を集成材工場とCLT工場とに区分 調査項目に木材の入荷先別仕入金額、販売先別販売金額等を追加。 オンライン調査の導入。 |
| 令和5年 | 調査業務を民間委託化。 |
調査の根拠法令
統計法(平成19年法律第53号)第19条第1項の規定に基づく総務大臣の承認を受けた一般統計調査として実施している。
調査体系

調査の対象
調査対象の範囲
製材工場、合単板工場、LVL工場、プレカット工場、集成材工場、CLT工場及び木材チップ工場並びに木材市売市場、木材センター及び木材販売業者(以下「木材流通業者」と総称する。)。
ただし、次に掲げるものは、この調査の対象から除外した。
ア 調査期日現在から遡って3か月以上休業しているもの
イ 国及び公共機関に属するもの
例:森林管理局、公立学校、都道府県、市区町村等の経営するもの
抽出方法
- 母集団について
(1)製材工場、合単板工場及びLVL工場、集成材工場、CLT工場及び木材チップ工場
直近の木材統計調査基礎調査の「工場一覧表」を母集団名簿として用いた。
なお、合単板工場については、次のとおり工場類型別に編成した。
ア 単板専門工場(単板のみを生産している工場をいう。)
イ 普通合板工場(普通合板を生産している工場をいう。なお、普通合板のほか、単板又は特殊合板を生産している工場を含む。)
ウ 特殊合板専門工場(特殊合板のみを生産している工場をいう。)
(2)プレカット工場及び木材流通業者
直近の木材流通構造調査において作成した母集団リストを基に、総務省の事業所母集団データベース(経済産業省が実施する工業統計調査又は総務省及び経済産業省が実施する経済センサス-活動調査であって直近に行われたものが同内容の情報として最新のものである場合にあっては、当該調査結果情報)を活用するなどにより調査対象事業所の新設、休廃業等の状況を整理し、令和5年の12月31日現在において事業を行っている「調査対象一覧表」を母集団名簿として用いた。 - 規模階層区分について
以下のとおり規模階層区分を行う。なお、LVL工場、CLT工場及び木材流通業者のうち木材センターは事業所数が少なく全数調査のため、階層区分は行わない。
(1)製材工場、合単板工場、集成材工場及び木材チップ工場
木材統計調査基礎調査の母集団リストの工場ごとの木材取扱量(製材工場は素材消費量、単板専門工場は単板用素材入荷量、普通合板工場は普通合板生産量、特殊合板専門工場は特殊合板生産量、集成材工場は集成材生産量、木材チップ工場は木材チップ生産量、以下同じ)の多い方から順に配列した後、木材取扱量がかけ離れて大きい事業所を大規模階層、それ以外を標本階層とする。
また、標本階層については、以下の工場別規模階層区分に基づき階層区分を行う。
ア 製材工場 大規模階層 200,000m3以上 第1階層 50,000m3以上200,000m3未満 第2階層 20,000m3以上50,000m3未満 第3階層 20,000m3未満 イ 単板専門工場 大規模階層 100,000m3以上 第1階層 50,000m3以上100,000m3未満 第2階層 10,000m3以上50,000m3未満 第3階層 10,000m3未満 ウ 普通合板工場 大規模階層 200,000m3以上 第1階層 50,000m3以上200,000m3未満 第2階層 10,000m3以上50,000m3未満 第3階層 10,000m3未満 エ 特殊合板専門工場 大規模階層 100,000m3以上 第1階層 30,000m3以上100,000m3未満 第2階層 10,000m3以上30,000m3未満 第3階層 10,000m3未満 オ 集成材工場 大規模階層 100,000m3以上 第1階層 40,000m3以上100,000m3未満 第2階層 10,000m3以上40,000m3未満 第3階層 10,000m3未満 カ 木材チップ工場 大規模階層 50,000t以上 第1階層 20,000t以上50,000t未満 第2階層 5,000t以上20,000t未満 第3階層 5,000t未満
(2)プレカット工場
直近の木材流通構造調査において把握した工場については、同調査の工場ごとの木材取扱量(材料入荷量、以下同じ)の多い方から順に配列した後、木材取扱量がかけ離れて大きい事業所を大規模階層、それ以外を標本階層とする。
また、標本階層については、以下の工場別規模階層区分に基づき階層区分を行う。
プレカット工場 大規模階層 60,000m3以上 第1階層 8,000m3以上60,000m3未満 第2階層 5,000m3以上8,000m3未満 第3階層 5,000m3未満
なお、直近の木材流通構造調査以降、調査年までに新規に操業を開始した工場については、新規調査階層に区分する。
(3) 木材流通業者(木材市売市場及び木材販売業者)
木材市売市場及び木材販売業者別に、直近の木材流通構造調査において把握した事業所については、同調査の事業所ごとの木材取扱量(素材仕入量、製材品、合板、集成材及び木材チップ販売量を合計した量、以下同じ)の多い方から順に配列した後、木材取扱量がかけ離れて大きい事業所を大規模階層、それ以外を標本階層とする。
また、以下の事業所別規模階層区分に基づき階層区分を行う。
なお、直近の木材流通構造調査以降、調査年までに新規に事業を開始した事業所については、新規調査階層に区分する。
ア 木材市売市場 大規模階層 150,000m3以上 第1階層 50,000m3以上150,000m3未満 第2階層 30,000m3以上50,000m3未満 第3階層 20,0003以上30,000m3未満 第4階層 20,000m3未満 イ 木材販売業者 大規模階層 500,000m3以上 第1階層 20,000m3以上500,000m3未満 第2階層 5,000m3以上20,000m3未満 第3階層 5,000m3未満
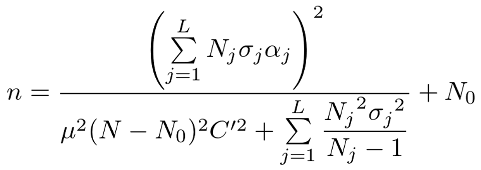
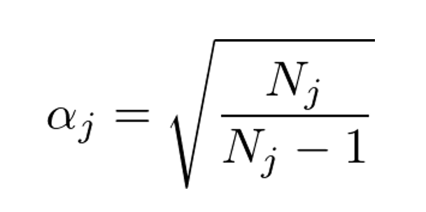
- 標本の大きさの算定について
業種別の標本の大きさ(n)は、当該業種に係る全国の木材取扱量について、目標精度を5%に設定し、次の式により算出する(標本階層における階層ごとの標本配分は最適配分によることとする。)。
| ただし、 | N | :(当該業種の)母集団の大きさ |
| Nj | :標本階層のうちの各階層の大きさ | |
| No | :大規模階層の大きさ | |
| L | :標本階層のうちの階層の数 | |
| μ | :標本階層における1事業所当たりの平均木材取扱量 | |
| σj | :標本階層のうちの各階層における標準偏差 |

| T | :当該業種に係る木材取扱量計 | |
| To | :当該業種の大規模階層に係る取扱量 | |
| C | :目標精度 |

- 標本の抽出について
以下のとおり標本の抽出を行う。
| (1) | 製材工場 |
| 「2 規模階層区分について」の大規模階層は全て抽出、標本階層については規模階層別に系統抽出の方法により標本を抽出する。 |
|
| (2) | 合単板工場 |
| 「2 規模階層区分について」の大規模階層は全て抽出、標本階層については規模階層別に系統抽出の方法により標本を抽出する。 |
|
| (3) | LVL工場 |
| 1の(1)の母集団に基づき、全数調査とする。 |
|
| (4) | プレカット工場 |
| 「2 規模階層区分について」の大規模階層は全て抽出、標本階層については規模階層別に系統抽出の方法により抽出する。 また、新規調査階層については、規模にかかわらず、全数調査とする。 |
|
| (5) | 集成材工場 |
| 集成材工場の工場一覧表を用い、「2 規模階層区分について」の大規模階層は全て抽出、標本階層については規模階層別に系統抽出の方法により標本を抽出する。 |
|
| (6) | CLT工場 |
| 1の(1)の母集団に基づき、全数調査とする。 |
|
| (7) | 木材流通業者 |
| 木材市売市場及び木材販売業者はそれぞれの母集団名簿を用いて、「2 規模階層区分について」の大規模階層は全て抽出、標本階層については規模階層別に系統抽出の方法により抽出する。 なお、木材市売市場及び木材販売業者の新規調査階層並びに木材センターは全数調査とする。 |
|
| (8) | 木材チップ工場 |
| 「2 規模階層区分について」の大規模階層は全て抽出、標本階層については規模階層別に系統抽出の方法により標本を抽出する。 |
調査事項
- 製材工場
素材(原木)の入荷先別入荷量及び仕入金額、製材品の販売先別出荷量及び販売金額並びに工場残材の販売先別出荷量等及び販売金額 - 合単板工場
素材(原木)の入荷先別入荷量及び仕入金額、他社からの材料(単板)の入荷先別入荷量及び仕入金額、合板の販売先別出荷量及び販売金額、単板の販売先別出荷量及び販売金額並びに工場残材の販売先別出荷量等及び販売金額 - LVL工場
素材(原木)の入荷先別入荷量及び仕入金額、他社からの材料(単板)の入荷先別入荷量及び仕入金額、LVLの販売先別出荷量及び販売金額並びに工場残材の販売先別出荷量等及び販売金額 - プレカット工場
材料の入荷先別入荷量及び仕入金額、販売先別出荷坪数及び販売金額、受注先別賃加工坪数及び賃加工金額並びに工場残材の販売先別出荷量等及び販売金額 - 集成材工場
材料(ラミナ)の入荷先別入荷量及び入荷金額、集成材の販売先別出荷量及び出荷金額並びに工場残材の販売先別出荷量等及び販売金額 - CLT工場
材料(ラミナ)の入荷先別入荷量及び入荷金額、CLTの販売先別出荷量及び出荷金額並びに工場残材の販売先別出荷量等及び販売金額 - 木材流通業者
素材(原木)の入荷先別入荷量及び仕入金額、輸入製品の入荷先別入荷量及び仕入金額、製材品の販売先別販売量及び販売金額、合板の販売先別販売量及び販売金額、LVLの販売先別販売量及び販売金額、集成材の販売先別販売量及び販売金額、CLTの販売先別販売量及び販売金額並びに木材チップの販売先別販売量及び販売金額 - 木材チップ工場
原料の入荷先別入荷量及び入荷金額、木材チップの販売先別出荷量等及び販売金額並びに工場残材の販売先別出荷量等及び販売金額
調査の時期
- 調査期間と実施期間
調査対象期間は令和5年1月1日から12月31日までの1年間とし、調査期日は令和5年12月31日現在とした。 - 調査の周期
5年 - 調査の実施期間又は調査票の提出期限
調査票の配布:令和6年1月上旬
調査票の回収:令和6年2月15日
調査の方法
調査は、農林水産省-民間事業者-(調査員)-報告者の実施系統で実施する。
民間事業者が郵送若しくはオンライン(電子メール)により調査票を配布・回収する自計調査の方法又は調査員が調査票を配布・回収する自計調査の方法により実施した。ただし、報告者が面接聞き取りによる調査を希望した場合は、調査員による面接(他計調査)により実施した。
集計・推計方法
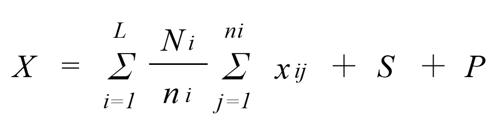
以下の推定式によって全国値を推定した。
- 製材工場
(1)素材の入荷先別入荷量及び仕入金額(又は製材品の販売先別出荷量及び販売金額)
推定は、国産材及び輸入材の別ごとに、次の推定式を用いて行う。

| X | :素材の入荷先別入荷量(又は製材品の販売先別出荷量)の推定値 |
| L | :中・小規模階層(大規模階層以外の階層。以下同じ。)の数(3) |
| Ni | :i 番目の中・小規模階層の母集団の大きさ |
| ni | :i 番目の中・小規模階層の調査対象事業所数(集計に用いた調査対象事業所数をいう。以下同じ。) |
| xij | :i 番目の中・小規模階層における j 番目の調査対象事業所の素材の入荷先別入荷量(又は製材品の出荷先別出荷量)の値(調査値) |
| yij | :i 番目の中・小規模階層における j 番目の調査対象事業所の素材の入荷量(又は製材品の出荷量)の値(調査値) |
| Y | :令和5年木材統計調査基礎調査結果による素材の入荷量(又は製材品の出荷量)の合計値(ただし、大規模階層における集計に用いた調査対象事業所に係る入荷量(又は出荷量)の値を除く。) |
| S | :大規模階層における集計に用いた調査対象事業所のXに対応した項目の値の合計値(調査値) |
| また、「X」として素材の入荷先別仕入金額(又は製材品の販売先別販売金額)を推定する場合には、推定式中の「xij」及び「S」について、推定項目の「X」に対応した項目の調査値を用いることとする。 |
(2)工場残材の販売先別出荷量及び販売金額
推定は、(1)の推定式を用いて行う。
- 合単板工場
(1)素材の入荷先別入荷量及び仕入金額(又は合板及び単板の販売先別出荷量及び販売金額)
推定は、1(1)の推定式を用いて行う。
(2)材料の入荷先別入荷量及び仕入金額
推定は、1(1)の推定式を用いて行う。
ただし、(1)及び(2)において、推定式中の「Ⅼ」については、工場類型(単板専門工場、普通合板工場及び特殊合板専門工場)別の中・小規模階層の数(全体で9)とする。
(3)工場残材の販売先別出荷量及び販売金額
推定は、1(1)の推定式を用いて行う。 - プレカット工場
(1)材料の入荷先別入荷量及び仕入金額(又は販売先別出荷坪数及び販売金額並びに受注先別賃加工坪数及び賃加工金額)
推定は、次の推定式を用いて行う。

| X | :調査項目に係る推定値 |
| Ni | :i 番目の中・小規模階層の母集団事業所数 |
| ni | :i 番目の中・小規模階層の調査対象事業所数 |
| xij | :i 番目の中・小規模階層における j 番目の調査対象事業所の調査項目の値(調査値) |
| S | :大規模階層における調査項目の合計値(調査値) |
| P | :新規調査階層における調査項目の合計値(調査値) |
(2)工場残材の販売先別出荷量等及び販売金額
推定は、(1)の推定式を用いて行う。
- 集成材工場
(1)材料の入荷先別入荷量及び仕入金額(又は集成材の販売先別出荷量及び販売金額)
推定は、1(1)の推定式を用いて行う。
(2)工場残材の販売先別出荷量及び販売金額
推定は、1(1)の推定式を用いて行う。 - 木材流通業者
素材(輸入製品)の入荷先別入荷量及び仕入金額又は製材品(国産材及び外材)、合板(普通合板及び特殊合板)、LVL、集成材、CLT及び木材チップの販売先別販売量及び販売金額の推定は、3(1)の推定式を用いて行う。
また、推定は、木材市売市場、木材センター及び木材販売業者別に行い、それぞれの推定値を合計して全体の推定値とする。
なお、木材センターについては全ての事業所を調査対象事業所とすることから、表章する区分ごとに調査値を合計する。 - 木材チップ工場
(1)原料の入荷先別入荷量及び入荷金額
推定は、1(1)の推定式を用いて行う。
(2)木材チップの販売先別出荷量及び販売金額
推定は、1(1)の推定式を用いて行う。
(3)工場残材の販売先別出荷量及び販売金額
推定は、1(1)の推定式を用いて行う。 - LVL工場及びCLT工場
LVL工場及びCLT工場については、全ての事業所を調査対象事業所とすることから、表章する区分ごとに調査値を合計する。
用語の説明
| 用語 | 定義 |
| 製材工場 | 製材を行う事業所をいい、移動製材工場を含めた。ただし、製材に用いる動力の出力数が7.5kW未満の工場は除いた。 |
| 合単板工場 | 単板、普通合板及び特殊合板を生産する事業所をいう。 |
| LVL工場 | LVLを生産する事業所をいう。 |
| プレカット工場 | 軸組工法(建築物の骨格を軸組で形づくる工法。在来工法ともいう。)等による木造建築物の構造材(柱、土台、梁等)、羽柄材(板、垂木、敷居、鴨居等)の仕口、継手、ほぞ等、従来は大工が手で行っていた加工を機械で行う事業所をいう。 |
| 集成材工場 | 集成材を生産する事業所をいう。 |
| CLT工場 | CLTを生産する事業所をいう。 |
| 木材市売市場 | 市売売買と称される売買方式によって木材の売買を行わせる事業所をいう。 |
| 木材センター | 二つ以上の売手(センター問屋)を同一の場所に集め、買手(木材販売業者等)を対象として相対取引(売方と買方の直接交渉によって価格を決める売買方法)によって木材の売買を行わせる事業所をいう。 なお、ここでいう木材センターとは卸売機構としてのセンターであり、「小売センター」は除いた。 |
| 木材販売業者 | 木材を購入して販売する事業所をいう。なお、ここでいう木材販売業者とは、一般に木材問屋(輸入材問屋、納材問屋、付売問屋、ひき立業者等)、材木店、建材店といわれるものをいい、「素材生産業者」、「銘木専門店」、「日曜大工等家庭消費向販売店」を除いた。 |
| 木材流通業者 | 木材市売市場、木材センター及び木材販売業者をいう。 |
| 木材チップ工場 | 素材、工場残材、林地残材(立木伐採後の林地において玉切り又は造材により生じた根株、枝条等をいう。)及び解体材若しくは廃材をチッパー等にかけて木材チップを製造する事業所をいう。 なお、製材工場、合単板工場、LVL工場、集成材工場、CLT工場、家具・建具工場等との兼営工場は木材チップ工場に含めるが、製紙工場、パルプ工場、繊維板工場及び削片板工場において調木、原料製造の一工程として木材チップを製造しているものは除いた。 |
| 木材の販売金額 | 調査対象事業所が調査期日前1年間に製材品、合板、単板、LVL、プレカット加工材、集成材及びCLTを販売して得た販売先毎の金額をいう。 ただし、調査対象事業所が他に有している支店・営業所に製材品、合板、単板、LVL、プレカット加工材、集成材及びCLTを仕向けた場合には、その仕向量を販売したものとみなして、その金額を見積もり計上することとした。 |
| 素材入荷量(仕入量)及び仕入(入荷)金額 | 素材の入荷量(木材市売市場にあっては受入量を含む。以下同じ。)及び仕入(入荷)金額は、売買契約に基づく売方と買方との間の移動量及び金額とした。ただし、本店・支店(自社他工場も含む。以下同じ。)間の受入量、仕向量及び受入金額、仕向金額は、それぞれの事業所ごとの入荷量・販売量及び仕入(入荷)金額・販売金額として取り扱うこととした(以下「製品の出荷量」、「材料及び原料の入荷量」についても同じ。)。 |
| 素材(材料・原料)の入荷先(仕入先) | 【直接、国・公共機関から】 森林管理局、公立学校、都道府県及び市区町村から直接、立木又は素材を入荷した場合(立木処分を含む。)をいう。 【自ら生産したもの】 調査対象事業所が、自らの保有山林及び購入立木から素材生産したもので、伐採及び玉切り等の素材生産を請負わせて入手したものも含める。ただし、国又は公共機関からのものは除いた。 【素材生産業者から】 素材生産業者とは、売買契約又は売買受託によって素材生産を業とするものをいい、調査対象事業所がこれらの業者から直接素材を入荷した場合をいう。 【製材工場から】 素材の入荷先が製材工場の場合をいう。 なお、製材工場が輸入材を輸入し、輸入材丸太の内陸製材工場等に転売することがあるので、製材工場から輸入材の転売を受けた分については含めていない。 【合単板・LVLから】 素材の入荷先が合単板工場又はLVL工場の場合をいう。 【木材市売市場から】 素材の入荷先が木材市売市場の場合をいう。 【競り売り】 製材工場等の木材加工業者が、木材市売市場において、集積された素材を現物熟覧により「競り」又は「入札」を経て入荷する場合をいう。 【競り売り以外】 製材工場等の木材加工業者が、木材市売市場との間で事前に取り決めた素材の数量、造材方法等に基づき、木材市売市場の土場を経由せず、伐採現場や中間土場から直接入荷する場合をいう。 【木材センターから】 素材の入荷先が木材センターの場合をいう。 【木材販売業者から】 素材の入荷先が木材販売業者の場合をいう。 なお、木材販売を専門とする商社・会社の場合は、輸出入業務を行っていても「木材販売業者から」とした。 【総合商社から】 総合商社とは、輸出入業務を行っている商社のことをいい、国内で入荷し、販売を業とする一般の商社は除いた。 これらの商社と売買契約をし、素材を入荷した場合をいう。 なお、木材販売を専門とする商社・会社の場合は、輸出入業務を行っていても「木材販売業者から」とした。 【その他から】 素材の入荷先が上記以外の場合をいう。例えば、事業所が総合商社を通さないで直接外国から輸入材を購入した場合や上記以外から入荷した場合が該当する。 |
| クリーンウッド法木材 | 合法伐採木材等の流通及び利用の促進に関する法律(平成28年法律第48号)(クリーンウッド法)第3条第1項の規定に基づく合法伐採木材等の流通及び利用の促進に関する基本方針で定められた情報が書類等により確認できる合法伐採木材をいう。 |
| 製品の流通 | 【製材品、単板、合板、LVL、集成材、CLTの出荷量(販売量)及び販売金額】 工場における出荷量及び販売金額は、自工場で生産した製品のみの出荷量及び販売金額とし、他社から購入した製品の販売量分は含めていない。 賃加工製品の取扱いは、素材の場合と同様、製材工場、合単板工場、LVL工場、プレカット工場、集成材工場、CLT工場、木材市売市場、木材センター及び木材販売業者から賃加工依頼を受けた製品は当該工場の製品とはせず、依頼した方の製品として取り扱い、それ以外のところからの賃加工依頼製品は、当該工場の製品として取り扱った。 なお、合板工場が総合商社から素材持ちで合板製造依頼を受けた場合の製品は当該工場の販売量としたが、その販売先は総合商社とした。本店・支店間の受入量及び受入金額は、それぞれの事業所ごとの仕入量及び仕入金額並びに販売量及び販売金額として取り扱った(「素材の仕入量」の取扱いと同じ。)。 |
| 製品の販売先 | 【製材工場へ】 製品の販売先が製材工場の場合をいう。 【合単板・LVL工場へ】 製品の販売先が合単板工場及びLVL工場の場合をいう。 【プレカット工場へ】 製品の販売先がプレカット工場の場合をいう。 【枠組壁工法住宅用部材組立工場へ】 製品の販売先が枠組壁工法住宅用部材組立工場の場合をいう。 なお、枠組壁工法住宅用部材組立工場とは通称ツーバイフォー工法による住宅用部材組立工場をいい、木造の枠組材に構造用合板などの面材を緊結して壁と床を作り、壁と床を一体化して、住宅用部材を組み立てる工場をいう。 【集成材・CLT工場へ】 製品の出荷先が集成材工場及びCLT工場の場合をいう。 【木材薬品処理工場へ】 製品の販売先が木材薬品処理工場(主として木材の乾燥を行う事業所は除く)の場合をいう。 なお、木材薬品処理工場とは主として他工場等で製材されたものをクレオソート、その他薬品で木材を防腐処理、耐火処理、防虫等の処理を行う工場をいう。 ただし、木材薬品処理工場に薬品処理のみを行わせ、薬品処理後の木材を自工場に戻させる場合は除いた。 【木材市売市場へ】 製品の販売先が木材市売市場の場合をいう。 【木材センターへ】 製品の販売先が木材センターの場合をいう。 【木材販売業者へ】 製品の販売先が木材販売業者の場合をいう。 【建築業者へ】 原則として製品をそのまま消費する最終需要者(建設、建築業者、大工、工務店等)へ販売した場合をいう。 なお、製品を再加工してその製品を販売するもの、例えば、家具建具等の製造業者へ出荷した場合、本調査では「建築業者へ」とはしないで「その他へ」とした。 【総合商社へ】 製品の販売先(売買契約に基づく相手方)が総合商社の場合をいう。例えば、売買契約の相手方が総合商社で、現品は総合商社以外に搬出した場合、販売先は総合商社となるので特に注意する。 【こん包業へ】 製品の販売先がこん包用材枠及び木製パレット等の製造を行う事業所又は運送のために物品の荷造り若しくはこん包を引き受ける事業所をいう。 【ホームセンターへ】 製品の販売先がホームセンターの場合をいう。 なお、ホームセンターとは主として住まいの手入れ改善に係る商品を中心に、家庭用品、園芸用品、電気機械器具、家具、収納用品、建築材料などの住関連商品を総合的、系統的に品揃えし、セルフサービス式により小売する事業所で、店舗規模が大きい事業所をいう。 【その他へ】 製品の販売先が上記以外の場合をいう。例えば、製材工場、合単板工場、LVL工場、プレカット工場、集成材工場及びCLT工場以外の工場等(家具建具業者等)に販売した場合が該当する。 |
| 材料の入荷先 | 【プレカット工場から】 プレカット工場の材料の入荷先が他社のプレカット工場の場合をいう。 【自社の製材工場から】 集成材工場の材料(製材品等)の入荷先が兼営している製材工場等の場合をいう。 【他社の製材工場から】 集成材工場の材料(製材品等)の入荷先が他社の製材工場の場合をいう。 【外国から直接輸入】 総合商社及び木材販売業者等を通さないで、外国から材料(製材品等)を直接購入する場合をいう。 【その他】 記載の入荷先以外から材料(製材品等)を仕入れた場合をいう。 |
| 出荷坪数 | 出荷されたプレカット加工材が供された木造建築物ののべ床面積をいう。 |
| 賃加工坪数及び賃加工金額 | 賃加工によるプレカット加工材が供された木造建築物ののべ床面積及び賃加工に費やされた金額をいう。 |
| 木材チップの販売金額 | 調査対象事業所が調査期日前1年間に木材チップを販売して得た販売先毎の金額をいう。 ただし、調査対象事業所がその支店・営業所等の販売事業所に仕向けた場合には、その仕向量を販売したものとみなして、その金額を見積もり計上することとした。 なお、この項目の対象となる木材チップは、「チッパー等を用いて製造したパルプ」、「紙、繊維板、削片板等の原料」及び「発電施設等で使用する燃料用の原料」とする木材の小削片をいう。 |
| 原料の入荷量及び入荷金額 | この項目の対象となる原料とは、「チッパー等を用いて製造したパルプ」、「紙、繊維板、削片版等の原料」をいい、燃料用の原料はここに含めていない。 |
| 木材チップの販売先 | この項目の対象となる木材チップは、「チッパー等を用いて製造したパルプ」、「紙、繊維版、削片板等の原料」及び「発電施設等で使用する燃料用の原料」とする木材の小削片をいう。 【製紙工場へ】 木材チップの販売先が製紙工場の場合をいう。 【木質ボード工場へ】 木材チップの販売先が木質ボード工場の場合をいう。 【ペレット製造業者へ】 木材チップの販売先がペレット製造業者の場合をいう。 【畜産業者等へ】 木材チップの販売先が畜産業者等(耕種作物農家向けを含む。)の場合をいう。畜産敷料、堆肥製造用等として販売した場合が該当する。 【おが粉製造業者等へ】 木材チップの販売先がおが粉製造業者等(菌床製造業者を含む。)の場合をいう。 【発電・熱利用施設及び熱電併給施設へ】 木材チップの販売先が発電施設、熱利用施設(園芸施設のボイラー用、温水給湯ボイラー用等)及び熱電併給(単一又は複数のエネルギー資源から、電気と熱という異なるエルギーを同時に得ることをいい、コージェネレーションシステムとも呼ばれる。)施設の場合をいう。 【チップ等集荷業者・木材流通業者等へ】 木材チップの販売先がチップ等集荷業者、木材流通業者等の場合をいう。 【その他へ】 木材チップの販売先が上記以外のその他の用途へ販売した場合をいう。例えば、調査対象事業所が木材流通業者等を通さずに直接小売販売を行った場合が該当する。 |
| (自家消費等) (熱利用等) |
【自工場で消費】 自工場のボイラーでの熱利用等が該当する。 【その他へ】 産業廃棄物処理業者への搬出等販売されないものをいう。 |
| 工場残材の販売先(出荷) | 工場残材(以下「残材」という。)とは、製材工場、合単板工場その他の木材加工工場において製品を製造した後に発生する、樹皮、端材等(背材、単板・合板・特殊合板の屑・耳等、製品製造時に発生する木材片、合単板工場及びLVL工場における単板製造後のむき芯材等)、おが粉等(プレナー屑、サンダー屑、ドリル屑等)及びバークをいう。 |
| 工場残材の販売金額 | 調査対象事業所が調査期日前1年間に残材を販売して得た販売先毎の金額をいう。 ただし、調査対象事業所が他に有している支店・営業所に残材を仕向けた場合には、その仕向量を販売したものとみなして、その金額を見積もり計上することとした。 【自社のチップ工場へ】 残材の販売先が兼営しているチップ工場の場合をいう。 【他社のチップ工場へ】 残材の販売先が他社のチップ工場の場合をいう。 【木質ボード工場へ】 残材の販売先が木質ボード工場の場合をいう。 【ペレット製造業者へ】 残材の販売先がペレット製造業者の場合をいう。 【畜産業者等へ】 残材の販売先が畜産業者等(耕種作物農家向けを含む。)の場合をいう。畜産敷料や堆肥製造用等として販売した場合が該当する。 【おが粉製造業者等へ】 残材の販売先がおが粉製造業者等(菌床製造業者を含む。)の場合をいう。 【堆肥製造業者へ】 残材の販売先が堆肥製造業者等の場合をいう。 【発電・熱利用施設及び熱電併給施設へ】 残材の販売先が発電施設、熱利用施設(園芸施設のボイラー用、温水給湯ボイラー用等)及び熱電併給(単一又は複数のエネルギー資源から、電気と熱という異なるエネルギーを同時に得ることをいい、コージェネレーションシステムとも呼ばれる。)施設の場合をいう。 【チップ等集荷業者・木材流通業者等へ】 残材の販売先がチップ等集荷業者、木材流通業者等の場合をいう。 【その他へ】 残材の販売先が上記以外のその他の用途へ出荷した場合をいう。 例えば、事業所が木材流通業者等を通さずに直接薪用途販売や端材の小売販売を行った場合が該当する。 |
| (自家消費等) | 【産業廃棄物として処理】 残材を産業廃棄物として自工場で処理又は業者等に依頼して処理した場合をいう。 【自工場で消費(熱利用等)】 自工場のボイラー等での熱利用等が該当する。 【その他へ】 上記以外の、出荷されないものをいう。 |
調査票
木材流通構造調査票(1)[製材工場用](PDF:217KB)
木材流通構造調査票(2)[合単板工場用](PDF:258KB)
木材流通構造調査票(3)[LVL工場用](PDF:256KB)
木材流通構造調査票(4)[プレカット工場用](PDF:222KB)
木材流通構造調査票(5)[集成材工場用](PDF:218KB)
木材流通構造調査票(6)[CLT工場用](PDF:217KB)
木材流通構造調査票(7)[木材流通業者用](PDF:308KB)
木材流通構造調査票(8)[木材チップ工場](PDF:215KB)
利用上の注意
- 統計数値については、表示単位未満を四捨五入しているため、合計値と内訳の計が一致しない場合がある。
- 表中に用いた記号は、次のとおりである。
「0」、「0.0」:単位に満たないもの(例:0.4千m³→0千m³)
「-」:事実のないもの
「…」:事実不詳又は調査を欠くもの
「△」:負数又は減少したもの
「nc」:計算不能 - 消費税の取扱いについて
金額に関する調査結果は、消費税を含んでいる。
利活用事例
- 「森林・林業基本計画」の策定に当たって、現行計画に掲げた林産物の供給及び利用の目標やこれらを達成するための木材加工・流通体制の整備などに関する施策の評価・分析等を行い、各種施策の基本的な方針を検討するための資料。
- 「森林・林業基本法」第10条に基づき、閣議決定を経て国会に提出される「森林・林業白書」の「木材産業の動向」等の作成するための資料。
- 各流通段階における各種経費、利益などの算定に用いるための資料。木材等の効率的な加工・流通体制の整備の推進等に資する資料。
Q&A
| 1.木材流通構造調査の基本 | |
| Q | 木材流通構造調査の結果は、どのようなことに役立っているのですか? |
| A | 木材産業は、木材の供給・加工・流通を通じ、林業の持続的かつ健全な発展並びに森林の適正な整備及び保全に重要な役割を担っています。 近年の木材産業の動向をみると、品質・性能、価格や供給の安定性等の点において競争力の強化が課題となっている中で、製材生産の大規模工場への集中、合板生産に占める国産材の割合の上昇、新たな木材需要の創出に向けた技術開発等の動きがみられます。 木材流通構造調査は、木材の流通構造の実態を明らかにし、林業行政を行うための基本となるデータとして用いられます。 |
| Q | 仕事が忙しい場合でも、木材流通構造調査に答えなければならないのですか? |
| A | もし、皆様から回答をいただけなかったり、正確な回答をいただけなかった場合、得られた統計が不正確なものとなります。そのようなことになれば、木材流通構造調査の結果を利用して立案・実施されている様々な政策や将来計画の方向を誤ったり、行政の公平性や効率性が失われたりするおそれがあります。 統計調査は、その趣旨を皆様に御理解いただくことによって成り立つものです。正確な統計に基づいて、公正で効率的な行政を行うためには正確な回答が必要ですので御協力をお願いします。 |
| 2.個人情報の保護 | |
| Q | 木材流通構造調査では調査対象の情報はどのように保護されるのですか? |
| A | 木材流通構造調査は、統計法に基づく統計調査として行われ、プライバシーは厳重に守られます。 統計調査に従事する者には統計法により守秘義務が課せられており、違反した場合の罰則(2年以下の懲役又は100万円以下の罰金)が設けられています。また、過去に統計調査に従事していた者に対しても、同様の義務と罰則が規定されています(統計法第41条、第57条第1項第2号)。 このように、統計調査の業務に従事する者、あるいは過去に従事していた者に対して厳しい守秘義務と罰則が設けられているのは、調査対象となる方々に、調査項目全てについて、安心して回答いただくためです。木材流通構造調査でいただいた回答(調査票)は、外部の人の目に触れないよう厳重に保管され、統計法で認められている統計の作成・分析の目的にのみ使用されます。統計以外の目的に使うことや、外部に出されることは一切ありませんので、安心して御記入ください。 なお、調査員による調査の場合は、調査員に対して個人情報の保護を一層徹底させるため、秘密の保護、調査票の厳重管理等についての指導を徹底しています。 |
| Q | 木材流通構造調査で知ったことを、税金の徴収など、統計以外の目的に使うことはないのですか? |
| A | 木材流通構造調査は、統計法に基づいて行われ、統計以外の目的で調査票を使用することは固く禁じられています。したがって、調査関係者が調査で知り得た秘密を他に漏らしたり、統計以外の目的、例えば徴税などに調査票の記入内容を使用したりすることは絶対にありません。これらの行為は統計法という法律で固く禁じられています。調査関係者が調査で知り得た秘密を他に漏らした場合の罰則(懲役又は罰金)も定められています。 皆さまに御記入いただいた調査票は、外部の人の目に触れることのないよう厳重に保管され、集計が完了した後は完全に溶かしてしまうなど、個人情報の保護には万全を期しておりますので、安心して御記入ください。 |
| Q | 木材流通構造調査には、個人情報保護法が適用されないのですか? |
| A | 統計法に基づいて行われる統計調査で集められる個人情報は、次の理由から個人情報保護法が適用されないことになっています。 統計調査により集められた個人情報は、集計後は統計処理されることにより、個人を識別できない形で利用・提供されること 統計法では、統計以外の目的での調査票の使用が禁止されているなど、個人情報の取扱いに必要な制度上の規律が厳格に整備されていること |
| 3.木材流通構造調査結果の公表について | |
| Q | 木材流通構造調査結果は、いつごろ公表されるのですか? |
| A | 原則として、調査実施年の翌年8月下旬までに概数値として公表し、逐次確報を公表することとしています。 なお、具体的な公表日時については、こちらを確認してください。 |
| Q | 木材流通構造調査結果は、どこで利用することができますか? |
| A | 木材流通構造調査の結果は、農林水産省ホームページ及び政府統計の総合窓口(e-Stat)で順次公表することとしていますので、インターネットを通じて御利用していただくことができます。 インターネットによる公表においては、原則として全ての統計表をダウンロードできるよう掲載することとしています。 |
お問合せ先
大臣官房統計部生産流通消費統計課
担当者:畜産・木材統計班
代表:03-3502-8111(内線3686)
ダイヤルイン:03-3502-5665




