トランス脂肪酸
更新日:2020年4月27日
「トランス脂肪酸」は、トランス型二重結合という特有の構造を持つ不飽和脂肪酸の総称です。炭素-炭素間の二重結合を構成している、2つの炭素原子に結合している原子や炭素鎖の順序が同じであっても、二重結合を中心に見ると、結合の向きが違う場合があります。脂肪酸においては、炭素-炭素間の二重結合(C=C)を境目にして、水素原子が同じ側にある場合をシス(cis)型二重結合、反対側にある場合をトランス(trans)型二重結合といいます。

例えば、オレイン酸とエライジン酸(上図)では、炭素、水素、酸素の数、炭素、水素、酸素の結合の順序及び炭素-炭素二重結合のある場所は同じ(9個目の炭素)です。しかし、二重結合を構成している炭素の両側につながっている水素の位置が異なります。トランス型二重結合を持つエライジン酸は、トランス脂肪酸の一種です。
シス型二重結合を持つオレイン酸と、トランス型二重結合を持つエライジン酸では、同じ分子量(分子を構成する各原子の数が同じ)で、二重結合の構造だけが異なりますが、それぞれの融点はオレイン酸が約13℃、エライジン酸が約43℃と大きく異なります。
トランス脂肪酸の定義
コーデックス委員会は、栄養表示等におけるトランス脂肪酸の定義を明確にするため、2006年の総会で以下のように定めました。
|
トランス脂肪酸 少なくとも1つ以上のメチレン基で隔てられたトランス型の非共役炭素-炭素二重結合を持つ単価不飽和脂肪酸及び多価不飽和脂肪酸の全ての幾何異性体(出典:コーデックス委員会栄養表示に関するガイドライン CAC/GL2) |
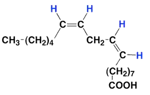
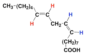
この定義によると、一つでもトランス型二重結合をもつ脂肪酸は、それが共役型でなければトランス脂肪酸と呼ばれます。例えば炭素の数が18、炭素-炭素二重結合の数が2つ、炭素や水素、酸素のつながり方、炭素-炭素二重結合のある場所が同じ脂肪酸の場合は、3種類のトランス脂肪酸があることになります。(下図)
![]() |
![]() |
| シス脂肪酸(シス型とシス型) | トランス脂肪酸(シス型とトランス型) |
|---|---|
![]() |
![]() |
| トランス脂肪酸(トランス型とシス型) | トランス脂肪酸(トランス型とトランス型) |
参考情報:コーデックス委員会でのトランス脂肪酸の定義に関する検討経過
トランス脂肪酸の種類
トランス脂肪酸には、炭素の数(鎖の長さ)、炭素間の二重結合の数と位置によって多くの種類があります。例えば、食品に含まれる主なシス型の不飽和脂肪酸と鎖の長さが同じで、かつ、炭素間の二重結合の数と位置が同じトランス脂肪酸の数は、理論上、次の表のとおりです。
| シス型不飽和脂肪酸 | 対応するトランス脂肪酸の理論上の数注 |
| オレイン酸 |
1 エライジン酸 |
| リノール酸 |
3 |
| α-リノレン酸 |
7 |
| イコサペンタエン酸(EPA) |
31 |
| ドコサヘキサエン酸(DHA) |
63 |
注) 炭素の数・二重結合の位置が同じトランス脂肪酸の種類は、二重結合の数によって変わります。例えば、二重結合を1つ持つシス型の不飽和脂肪酸であるオレイン酸の場合、対応するトランス脂肪酸は1種類のみで、これはエライジン酸と呼ばれています。シス型の二重結合を2つ持つリノール酸に対応するトランス脂肪酸は、どちらか片方だけの二重結合がトランス型である2種類、2つの二重結合がどちらもトランス型である1種類の合計3種類です。1つの二重結合につき、それぞれシス型・トランス型の2種類があるため、炭素の数が同じで、二重結合n個を同じ位置に持つ不飽和脂肪酸は、2をn回掛けた2n種類あります。このうち、全ての二重結合がシス型の不飽和脂肪酸は1種類だけなので、トランス脂肪酸は、不飽和脂肪酸の総数から1を引いた数である(2n-1)種類あることになります。
共役型二重結合
分子中に2つ以上の炭素-炭素二重結合があり、二重結合、一重結合(単結合)、二重結合と並んだ状態をとっている場合、共役型二重結合といいます。分子中にこの状態がない場合は非共役型といいます。
例えば、自動車タイヤのゴムの原料として用いられている1,3-ブタジエンは、4つの炭素原子の結合が二重結合、一重結合、二重結合と並んだ状態であるため、共役型二重結合を持つ分子です。炭素の数が18で炭素-炭素二重結合が2つある不飽和脂肪酸には、リノール酸と共役型二重結合をもつ共役リノール酸が知られています。

幾何異性体
物質を構成する各原子の数は同じでも、そのつながり方が異なっている化合物同士を「異性体」と呼びます。異性体のうち、つながる順序が同じであってもつながり方が異なる化合物同士を「幾何異性体」といいます。シス型-トランス型は幾何異性の一種です。
お問合せ先
消費・安全局食品安全政策課
担当:化学物質管理班
代表:03-3502-8111(内線4453)








