図2-15 現在の食生活

図2-15-1 現在の食生活
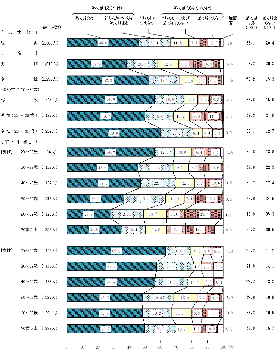
(1)家では、1日三食いずれも決まった時間に食事をとっている

図2-15-2 現在の食生活
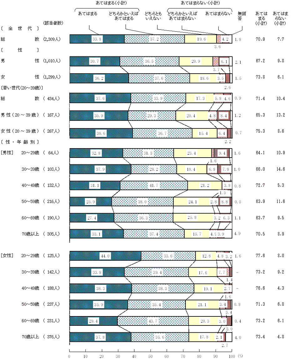
(2)家では、家族そろって食事をとっている

図2-15-3 現在の食生活
(3)家では、家族と一緒に食料品の買い物をしている

図2-15-4 現在の食生活
(4)家では、家族と一緒に料理している

図2-15-5 現在の食生活
(5)家では、食事の準備や後片付けを手伝っている

図2-15-6 現在の食生活
(6)家では、「いただきます」、「ごちそうさま」のあいさつをしている

図2-15-7 現在の食生活
(7)家では、季節の食材や、季節にあった料理が用意されている

図2-15-8 現在の食生活
(8)家では、食事が楽しく心地良い

図2-15-9 現在の食生活
(9)家、学校、地域などで、田植え、野菜の収穫など、食の生産に関する体験活動をしている

図2-15-10 現在の食生活
(10)家、学校、地域などで郷土料理や伝統料理を食べる機会がある

図2-15-11 現在の食生活
(11)職場、地域、病院などで、専門家から食に関する話を聞いたり、指導を受けたりする機会がある

|戻る|
お問合せ先
消費・安全局消費者行政・食育課
担当者:食育計画班
代表:03-3502-8111(内線4576)




