このページの本文へ移動

農林水産省

メニュー

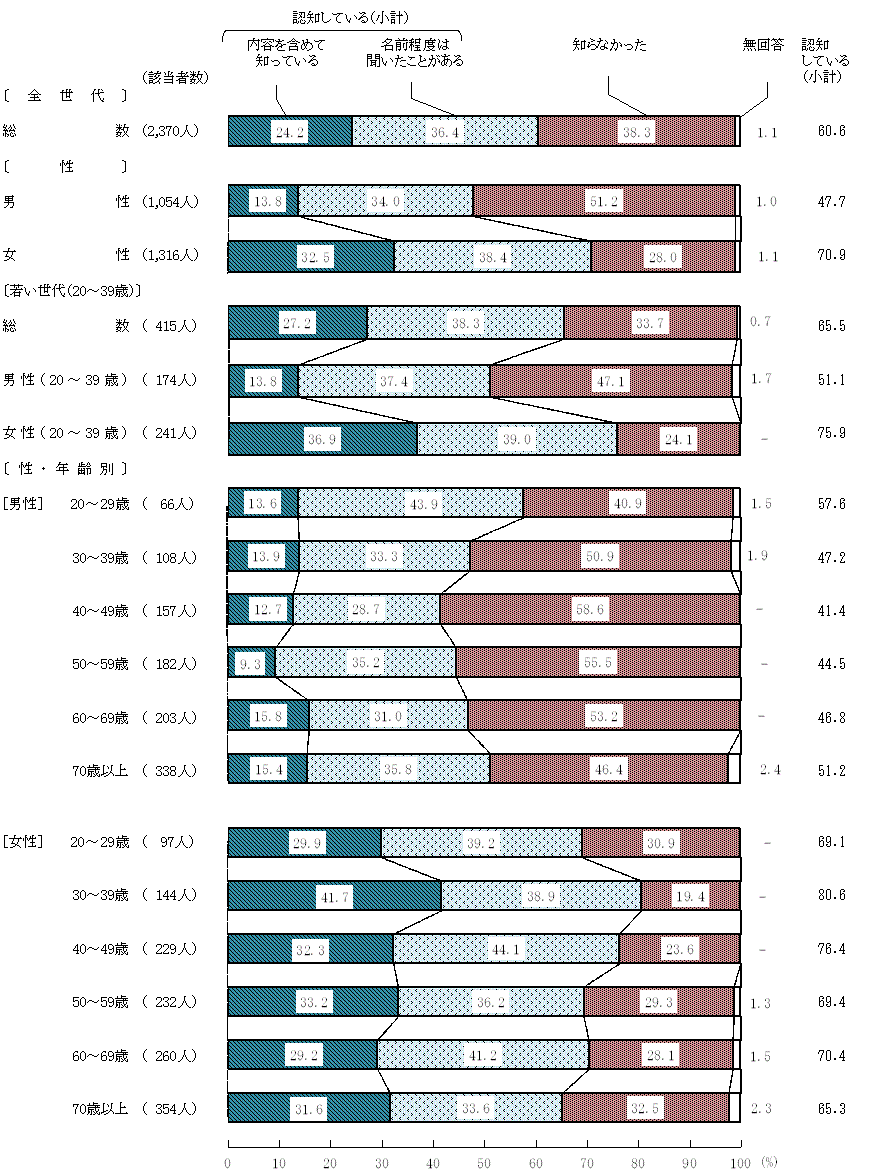
図10-1 「食事バランスガイド」の認知度

図10- 1 「食事バランスガイド」の認知度

図10-1-1  「食事バランスガイド」の認知度

図10-1-1 「食事バランスガイド」の認知度

戻る

お問合せ先

消費・安全局消費者行政・食育課

担当者:食育計画班
代表:03-3502-8111(内線4576)