農業経営改善計画の営農類型別認定状況(平成20年3月末現在)
担当:経営局経営政策課
PDFファイル、エクセルファイルはこちらから。
- 農業経営改善計画の営農類型別認定状況(平成20年3月末現在) PDF(PDF : 1,671KB)、エクセル(EXCEL : 466KB)
1 営農類型別の認定状況・・・全体の46%が単一経営、法人は単一経営が66%
(1) 農業経営基盤強化促進法に基づく農業経営改善計画の営農類型別認定状況は、平成20年3月末現在、239,286経営体であり、このうち、単一経営が全体の46%、準単一複合経営が39%、複合経営が15%となっている。
また、稲作単一経営が9%、稲作を主とした準単一複合経営が25%であり、稲作主体の経営が全体の34%となっている。
(2) 法人については、単一経営が66%、準単一複合経営が23%、複合経営が12%となっており、全体と比べて単一経営の割合が高い。特に、養豚(10%)、酪農(7%)、養鶏(7%)の単一経営の割合が高い(参考1参照)。

表1 :営農類型別の認定状況
(単位:経営体、%)

2 営農類型別認定状況の前年との比較・・・構成比に大きな変化はみられない
営農類型別認定状況を19年3月末と比べると、構成比に大きな変化はみられないが、複合経営の割合が1ポイント増加し、稲作を主とした準単一複合経営の割合が1ポイント減少している。
表2 :営農類型別認定状況の前年との比較
(単位:経営体、%)

3 ブロック別の営農類型別認定状況・・・東北、北陸では稲作主体の経営が過半を占める
ブロック別の主な営農類型は、次のとおりである(参考8参照)。
北海道・・・複合経営(40%)
東北 ・・・稲作を主とした準単一複合経営(38%)
関東 ・・・稲作を主とした準単一複合経営(24%)
北陸 ・・・稲作単一経営(50%)、稲作を主とした準単一複合経営(37%)
東海 ・・・施設野菜単一経営(16%)
近畿 ・・・稲作を主とした準単一複合経営(20%)、果樹類単一経営(20%)
中国四国・・・稲作を主とした準単一複合経営(20%)
九州 ・・・稲作を主とした準単一複合経営(19%)
沖縄 ・・・その他の単一経営(工芸農作物、16%)、肉用牛単一経営(15%)

表3 :ブロック別の営農類型別認定状況
(単位:%)

4 認定農業者の年齢階層別・営農類型別認定状況・・・60歳以上では稲作主体の経営が4割超
認定農業者(法人、共同申請を除く)を年齢別にみると、39歳以下では、単一経営が5割を超え、60歳以上では、稲作単一経営と稲作を主とした準単一複合経営を合わせた稲作主体の経営が4割を超えている。
また、年齢階層が上がるにしたがって稲作主体の経営の割合が高くなる一方、施設野菜単一経営の割合は年齢階層が下がるにしたがって高くなっている。

表4 :認定農業者(法人、共同申請を除く)の年齢階層別・営農類型別認定状況
(単位:%)

5 認定農業者の年齢構成・・・40~50歳代が約7割。北海道、九州、沖縄では40歳代の割合が比較的高い
認定農業者(法人、共同申請を除く)の年齢構成は、50歳代が42%、40歳代が23%、30歳代が8%となっている。
ブロック別の年齢構成をみると、北海道では40歳代、東北では50歳代、北陸では60歳以上、東海では65歳以上、近畿では30歳代と65歳以上、中国四国では60歳以上、九州では40歳代、沖縄では30歳代及び40歳代の割合が、それぞれ全国の年齢構成割合より2ポイント以上高くなっている。

表5 :認定農業者(法人、共同申請を除く)の年齢構成
(単位:%)

6 法人形態別の農業経営改善計画認定状況
法人形態別にみると、有限会社が67%、農事組合法人が21%、株式会社が10%となっている。
表6 :法人形態別の農業経営改善計画認定状況
(単位:経営体、%)

注: 1 営農類型の分類は、農業センサス等で用いられている「農業経営組織別分類」に準じた。
(1) 「単一経営」とは、農産物販売金額1位の部門の販売金額が、農産物総販売金額の80%以上を占める経営をいう。
(2) 「準単一複合経営」とは、農産物販売金額1位の部門の販売金額が、農産物総販売金額の60%以上80%未満を占める経営をいう。
例えば「稲作+麦類作」とあるのは、農産物販売金額1位の部門が稲作で、2位の部門が麦類作であることを示す。
(3) 「複合経営」とは、農産物販売金額1位の部門の販売金額が、農産物総販売金額の60%に満たない経営をいう。
(4) 「その他の作物」には、芝、種苗、栽培きのこ類(施設栽培を含む)、桑葉、牧草等の販売を含む。
(5) 「その他の畜産」には、馬を肥育しての販売、めん羊、やぎ、うさぎ、うずら、その他の毛皮獣及びミツバチの飼養等の販売を含む。ただし、養蚕は「その他の畜産」の外数として計上している。
2 「法人」には農業生産法人以外の法人、法人化することが確実として認定された組織経営体を含む。
3 「特定農業法人」とは、農業経営基盤強化促進法第23条第7項に規定する特定農用地利用規程に定められた農業生産法人であって、かつ、農業経営基盤強化促進法第12条第1項の認定を受けたものをいう。
4 「特例有限会社」とは、18年5月1日の会社法施行以前に有限会社であった会社であって、同法施行後、商号の中に「有限会社」を用いて存続している株式会社をいう。
5 「共同申請」とは、「認定農業者制度の運用改善のためのガイドライン」(15年6月)による共同申請(例:ア 夫婦、イ 世帯主とその子、ウ 夫婦とその子等)の数である。
なお、共同申請の名義人の関係によっては、「夫婦」及び「複数世代」の双方に重複計上されるもの(例:夫婦とその子等)もある。
6 「年齢」とは、農業経営改善計画認定申請書に記載された年齢であり、法人、共同申請による農業経営改善計画を除く。
7 「認定農業者」とは、農業経営基盤強化促進法第12条の2第1項に規定する者をいう。
8 「ブロック」の区分は、次のとおりである。
|
ブロック名 |
所属都道府県名 |
| 北海道 | 北海道 |
| 東北 | 青森、岩手、宮城、秋田、山形、福島 |
| 関東 | 茨城、栃木、群馬、埼玉、千葉、東京、神奈川、山梨、長野、静岡 |
| 北陸 | 新潟、富山、石川、福井 |
| 東海 | 岐阜、愛知、三重 |
| 近畿 | 滋賀、京都、大阪、兵庫、奈良、和歌山 |
| 中国四国 | 鳥取、島根、岡山、広島、山口、徳島、香川、愛媛、高知 |
| 九州 | 福岡、佐賀、長崎、熊本、大分、宮崎、鹿児島 |
| 沖縄 | 沖縄 |
9 合計と内訳は、ラウンドの関係で必ずしも一致しない。
また、構成比については、原数により算出している。
参考付表
(参考1) 農業経営改善計画の営農類型別認定状況(総数及び法人・新規就農者・女性・共同申請別)

(参考2) 農業経営改善計画の営農類型別認定状況(年齢階層別)

注:法人、共同申請による農業経営改善計画の認定数を除く。
(参考3) 農業経営改善計画の営農類型別認定状況(法人形態別)

注:法人の農業経営改善計画の認定数である。
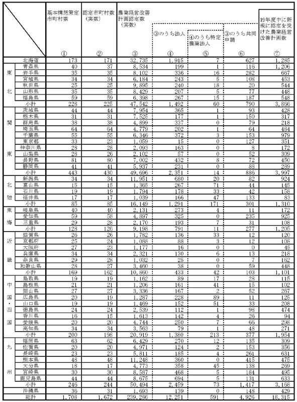
(参考4) 都道府県別農業経営改善計画の認定状況(総数及び法人・新規就農者・女性・共同申請別)

(参考5) 都道府県別農業経営改善計画の認定状況(年齢階層別)

注: 法人、共同申請による農業経営改善計画の認定数を除く。
(参考6) 都道府県別農業経営改善計画の認定状況及び構成比(法人形態別)

注: 法人の農業経営改善計画の認定数である。
(参考7) 都道府県別農業経営改善計画の営農類型別認定状況


(参考8) 都道府県別農業経営改善計画の営農類型別構成比

(参考9) 基本構想の策定状況及び農業経営改善計画の認定状況

お問合せ先
経営局経営政策課
担当者:集落営農グループ
ダイヤルイン:03-6744-2143




