農業経営改善計画の営農類型別認定状況(平成14年3月末現在)
担当:経営局経営政策課
PDFファイルはこちらから。
- 農業経営改善計画の営農類型別認定状況(平成14年3月末現在) PDF(PDF : 66KB)
1 認定状況
(1) 平成14年3月末現在の農業経営基盤強化促進法に基づく認定農業者数は、162,791
(2) うち、中山間地域においては、45,807
(3) また、法人は5,846(うち一戸一法人2,480)、新規就農者は1,337、女性は3,149
表1

表2

(4) 法人を除く認定農業者について年齢別にみると、40代が35%、50代が38%、30代が13%となっている。
ブロック別にみると、全国と比べて北海道・沖縄では30代~40代、東北・北陸では50代、東海・近畿・中国四国では60代の割合が高い。
表3

(5) 法人を形態別にみると、有限会社が79%を占め、農事組合法人が18%、株式会社が3%となっている。
表4

2 営農類型別の認定状況
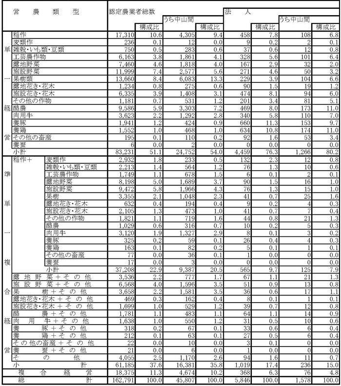
(1) 単一経営が認定農業者総数の51%を占めており、準単一複合経営が38%、複合経営が11%となっている。
営農類型は多岐にわたっているが、この中で、稲作単一経営が11%、稲作を主とした準単一複合経営が23%で稲作主体の経営が全体の34%を占める。
(2) 中山間地域においては、全体と比べて稲作主体の経営の割合が低く、果樹類、酪農の単一経営の割合が高くなっており、地理的条件が反映されたものと言える。
(3) 法人においては、単一経営が76%を占めており、準単一複合経営が17%、複合経営が6%となっている。
営農類型は多岐にわたっているが、全体と比べて稲作主体の経営の割合が低く、施設花き・花木、畜産部門〔肉用牛、養豚、養鶏〕(参考2参照)の割合が高い。
表5

(4) 平成13年3月末現在と比べてみると、単一経営、準単一複合経営の割合に大きな変化はないが、営農類型別に見れば、稲作単一経営、稲作+露地野菜が減少し、果樹類単一経営が増加している。
表6
(5) 各ブロックにおいて、割合が高い営農類型は次のとおりである。
北海道・・・酪農単一経営、複合経営
東北 ・・・稲作単一経営、稲作を主とした準単一複合経営
関東 ・・・露地野菜の単一経営
北陸 ・・・稲作単一経営、稲作を主とした準単一複合経営
東海 ・・・施設野菜及び施設花き・花木の単一経営
近畿 ・・・果樹類の単一経営
中国四国・・・施設野菜及び果樹類の単一経営
九州 ・・・施設野菜の単一経営
沖縄 ・・・施設花き・花木、肉用牛及びその他(工芸農作物)の単一経営
アンダ-ライン部分は、営農類型ごとにみて最も割合が高い地域である。
表7

(6) 年齢別の営農類型を全体と比べてみると、29歳以下では施設野菜及び施設花き・花木の単一経営の割合が高く、30代では施設野菜の単一経営、40代では全国平均に近い値となっている。また、50代から60代では稲作単一経営及び稲作を主とする準単一複合経営の割合が高い。年代による違いは、一概には言えないが、労働力や作目の将来性などを踏まえた経営判断の結果と考えられる。
表8

(7) 法人を形態別にみると、いずれの形態においても単一経営がかなりの割合を占めており、その中で農事組合法人では稲作単一経営が17%を占め、有限会社では養豚が12%、養鶏が11%を占めている。また、株式会社では養鶏が45%、養豚が18%を占めている。
表9

注: 1 営農類型の用語
営農類型の分類は、農業センサス等で用いられている「農業経営組織別分類」に準じた。
(1) 「単一経営」とは、農産物販売金額1位の部門の販売金額が、農産物総販売金額の80%以上を占める場合をいう。
(2) 「準単一複合経営」とは、農産物販売金額1位の部門の販売金額が、農産物総販売金額の60%以上80%未満を占める場合をいう。
例えば「稲作+麦類作」とあるのは、農産物販売金額1位の部門が稲作で、2位の部門が麦類作であることを示す。
(3) 「複合経営」とは、農産物販売金額1位の部門の販売金額が、農産物総販売金額の60%に満たない場合をいう。
(4) 「その他の作物」には、芝、種苗、栽培きのこ類(施設栽培を含む)、桑葉、牧草等の販売を含む。
(5) 「その他の畜産」には、馬を肥育しての販売、めん羊、やぎ、うさぎ、うずら、その他の毛皮獣及びミツバチの飼養等の販売を含む。
2 「中山間」とは、特定農山村地域における農林業等の活性化のための基盤整備の促進に関する法律第2条第1項に定める「特定農山村地域」をいう。
3 「法人」には農業生産法人以外の法人、法人化することが確実として認定された組織経営体を含む。
4 「一戸一法人」とは、世帯員のみで構成される法人をいう。
5 認定農業者(法人を除く)の「年齢」とは、農業経営改善計画認定申請書に記載された年齢をいう。
(参考1) 都道府県の認定農業者数(平成14年3月末現在)

(注) 「認定農業者」とは、農業経営基盤強化促進法に基づき新たに認定を受けた者である。
(参考2) 認定農業者の営農類型別状況(平成14年3月末現在)

お問合せ先
経営局経営政策課
担当者:集落営農グループ
ダイヤルイン:03-6744-2143




